扫码打开虎嗅APP
本文来自微信公众号:石头科普工作室(ID:Dr__Stone),作者:天音,题图来自:视觉中国
说起长度的测量,我们并不陌生。小到尺子,大到激光,都能成为我们测量距离的工具。美国阿波罗宇航员登陆月球时就曾在月球上放置反射器,地面的工作人员通过激光返回的时间得到了地月之间的距离。不过人类还没有登陆过其他星球,再远的距离就不能通过激光器测距了。不过使用光进行测距仍然是对宇宙进行测量的主要方法。

图1| 在月球上的激光反射器
宇宙中的尺度实在太大,因为存在光速的限制,所以宇宙中距离的测量与地球上用格尺测量可不一样;在了解测量宇宙大小的方法前,我们需要先行讨论关于宇宙中测量距离的基本原理。
在比较小的空间范围中,比如说地月系内,我们只要用简单的时间与速度公式就可以得到距离,但是宇宙空间和小范围空间并不相同。
首先,我们假设空间中存在有一个刚刚诞生的星系,其位于位置B,与地球的间距约为10亿光年;在星系诞生时发出的第一道光此时于B点向地球飞去。假设地球与该星系均静止;则显然,这束光的飞行时间为:飞行时间 =距离/光速。因此,这束光从星系B点飞行到地球的时间为10亿年。
但宇宙中的空间不是静止的,而是在膨胀的。根据哈勃定律的发现,我们知道远离地球的星系的退行速度与它们与地球之间的距离成正比。换句话说,距离我们越远的星系,在我们看来就越快地远离我们。

图2| 自大爆炸以来不断膨胀的宇宙
这是因为宇宙的膨胀导致了空间的扩张,使得远离我们的星系相对于地球移动得更快。在这个过程中,光从远处星系传播到地球的过程中,也会受到宇宙膨胀的影响。因此,我们必须考虑宇宙膨胀对光传播时间的影响。
如果我们要计算光从远离我们1亿光年的星系到达地球所需的时间,我们需要考虑宇宙膨胀对光传播的影响。在这种情况下,我们需要使用更复杂的宇宙学模型来计算确切的时间。
因此,即使地球和该星系保持静止,它们之间的距离也会因为宇宙空间的膨胀而逐渐增大。这意味着,光经过10亿年的时间后实际上只到达了地球原本所在的位置A。然而,在此期间,地球已经移动到了位置C。光继续追逐地球,直到在某个位置D追上地球。而与此同时,该星系因为宇宙空间的膨胀退行到达了点E。

此时我们发现了一个问题,在这个模型中出现了两个距离:
(1)光飞行的距离d1
(2)二者间的实际距离d2
假设这段时间内星系的退行距离为D,则有:
实际距离d2 = 光飞行的距离d1 + 退行距离D
在考虑宇宙膨胀的情况下,光行距离d1实际上会小于星系B到地球D之间的直线距离BD。我们可以将这个少掉的距离表示为Δd。另外,我们可以将星系B到地球原本位置A的距离标记为d0,有:

光行距离可以直观地表达光线传播所经历的时间。光行距离的数值等于光线从发出到现在所经过的时间。例如,如果光行距离为15亿光年(1.5 billion light-years),那么这束光就是在15亿年前发出的。
一般情况下,在新闻报道中提及的距离,如果没有特殊说明,通常指的是光行距离。因此,光行距离也是我们在日常生活中最常见的距离概念之一。
通过使用光行距离,我们能够更容易地理解和比较不同天体、星系以及宇宙事件之间的时间和空间关系。这种度量方式在天文学和宇宙学领域中被广泛使用,帮助我们理解宇宙的演化和测量远距离的天体间的距离。
接下来便是二者的实际距离,即DE的距离,我们称之为固有距离(dP)。固有距离每时每刻都在变化,其物理意义是二者间的真实距离。
因此,固有距离是一个与时间有关的因变量;比如AB间距离即二者在光发出时刻的固有距离,DE间距离即地球接收到光时刻的固有距离,固有距离一般随时间的增加而增加(还记得宇宙的膨胀吗?)。
一个不断变动的固有距离显然给天文研究带来了许多困扰,为研究方便,天文学界定义了“共动距离”(dC:comoving distance)的概念,建立了“共动坐标系”。所谓共动距离,就是将当前时刻各星系之间的固有距离为标准,此后宇宙如何膨胀,固有距离如何变化,共动距离仍然不变,这就消除了不随空间膨胀的距离结果。
共动距离的定义式如下:

仍以上述例子做假设,设在此时刻我们测得地球与星系之间的固有距离DE=1.5bly,则二者间的共动距离即为1.5bly;不论再过多长时间、固有距离如何变动,都定义二者间共动距离为1.5bly。
由此可见,共动距离是一种被定义的距离;对某一特定天体,其数值是确定的,变化的只是坐标系,坐标系随宇宙的膨胀而被拉长,所以测出的距离就不变了。

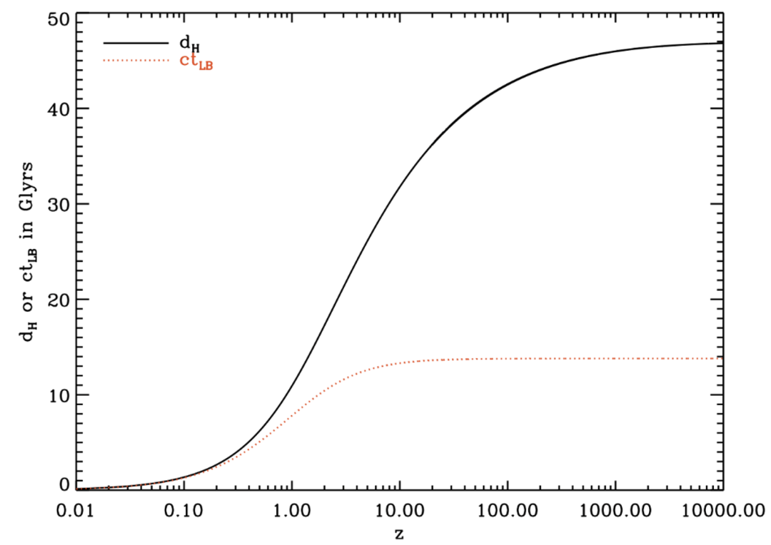
图3| 红移与共动距离之关系:纵轴为距离值(也可表示时间),单位为十亿光年;横轴为红移值。
介绍完了宇宙中各种距离的定义,我们就可以开始聊可观测宇宙大小的测量了。
回到最开始的模型,星系向地球发出光,而二者间存在退行速度,因此存在三种情况:
(1)地球的退行速度小于光速,则光在D点追到地球;
(2)地球的退行速度等于光速,则在有限的时间内光与地球始终保持一定距离;
(3)地球的退行速度大于光速,则二者间距越来越远,永远追不上。
由哈勃定律,我们知道:地球与星系间的相对速度与二者间的固有距离有关,当固有距离达到某一特定大小时,这个相对速度将等于光速,这就是可观测宇宙的半径了。
因此我们可以假设可观测宇宙的半径为R,并且将地球与星系之间的退行速度记为Vf,光速记为c,则可以令退行速度Vf = c;这个等式表示当固有距离达到可观测宇宙的半径时,地球与星系之间的相对速度等于光速。这意味着这些星系正在以与光速相等的速度远离我们,超过这个距离的星系将以更快的速度远离我们。
因为Vf = c;而退行速度Vf又与可观测宇宙的半径为R有关,因此我们可以得到以下关系:

其中,H0代表哈勃常数,哈勃常数描述了宇宙的膨胀速度,即宇宙中的物体离我们越远,其退行速度越快。当H0 = 67.8km/s/Mpc时可得:R = 14.4bly,即144亿光年。
但不对啊,科学家不是说可观测宇宙的半径不是465亿光年吗?为什么算出来的是144亿光年?
仔细观察哈勃定律的公式我们发现,这个计算得到的R实际上是光发出时的固有距离,并非我们接收到光时的固有距离。还是因为宇宙的膨胀,导致固有距离变化了,等到144亿光年外的光到达我们的位置时,宇宙已经膨胀了很大了;那么这个数怎么计算呢?
假设r为所求的可观测宇宙半径,有:

其中z为红移量,其计算方法如下:

设固有距离dP = 13.7bly(这与我们宇宙的年龄有关),代入上式则可算出r = 46.5bly,此即当前可观测宇宙的半径:465亿光年。
如今的宇宙只有137亿年的岁数,因此144亿光年的固有距离中,137亿光年外的光还未抵达地球,因此设dP = 13.7bly。随着时间的增加,剩余的光慢慢抵达地球,dP也会逐渐趋向于14.4bly。当dP = 14.4bly时,r = 63.0bly。
因此,可观测宇宙的半径会不断地增加,并不断逼近630亿光年,这便是可观测宇宙的最大半径。
本文来自微信公众号:石头科普工作室(ID:Dr__Stone),作者:天音