扫码打开虎嗅APP
本文来自微信公众号:返朴 (ID:fanpu2019),作者:丁一茗、严正
想象一下,你生活在一个奇妙的世界里,除了牛奶之外,所有食材都取之不尽、用之不竭。在这个世界中,牛奶就如同现实世界中的石油,是一种极为珍贵的资源。因此,任何含有牛奶的食物都被称作“资源食物”,而不含牛奶的食物则被称作“免费食物”。
作为一名天才美食家,你拥有极为敏锐的味觉系统,能够瞬间分辨出一道菜肴是免费食物还是资源食物。不仅如此,你还能精确量化食物中牛奶的含量。更进一步,你甚至可以剖析牛奶在食物中的分布和结构,并且理解这些结构如何影响食物的色、香、味……
将这种“资源思想”引入量子信息领域,我们便得到了量子资源理论[1]。
在量子资源理论中,我们不再划分食物,而是划分量子态。我们会选择某个量子特性作为标准,并将其视为量子资源。为了制备或模拟一个量子态,如果不需要引入该量子资源,那么这个态就被称作“免费态”,反之,则称为“资源态”。
举个简单的例子,如果我们将量子纠缠视为一种量子资源,那么免费态就是可分态(对于纯态而言,即为直积态),而资源态则是纠缠态。此时,资源结构在局域相互作用哈密顿量的基态上体现为面积律(纠缠熵随着纠缠边界呈线性增加),其修正能够反映诸如简并度、Goldstone模式、共形场中心荷和拓扑序等重要的量子多体性质[2]。
本文的主角——魔法(magic)或不稳定性(non-stabilizerness),是一种极为重要的量子资源。在这个语境下,魔法态(magic state)或非稳定态(non-stabilizer state)是资源态,而免费态则为稳定态(stabilizer state)。将魔法视为量子资源的动机,源于著名的Gottesman-Knill定理[3]:在Clifford量子线路下,任何稳定态都可以在经典图灵机上用多项式资源进行制备和模拟。为了实现通用量子计算或发挥量子优势,仅能制备稳定态(所有稳定态仅构成完整希尔伯特空间的一个子空间)是远远不够的。为此,我们必须引入能产生魔法的量子操作,例如量子T门。一个令人惊讶的事实是,许多高度纠缠的量子态并非魔法态[4]。
如果一个经典系统能够在多项式资源内完全模拟另一个量子系统的全部行为,那么这个量子系统是否还足够“量子”呢?这个问题的答案仍是开放的。由于复杂度理论方面的困难,人们尚未明确P(经典计算机易解)、NP(经典计算机难解但易验证)、BQP(P的量子版本)和QMA(NP的量子版本)这些复杂类之间的严格关系,但这启发我们应当将量子态的复杂度视为其重要的物理性质之一,就像纠缠一样。由于任何一个量子系统都可以看作是从过去的某个时间点经由一个平凡的初态演化而来,所以量子复杂度作为可能的历史演化的结果,具有潜力去刻画一些超越纠缠的重要性质。这一观点与Leonard Susskind在2014年研究黑洞物理时提出的“纠缠是不够的(entanglement is not enough)”不谋而合[5]。
事实上,魔法并不严格等同于我们讨论的量子复杂度,因为并非所有的魔法态都无法被经典计算机以多项式资源制备。例如,没有符号问题的哈密顿量的基态可以被蒙特卡洛方法有效模拟,而它们通常也具有非零的魔法。此外,一个量子态的魔法大小也并非独立于基底的选取(类似于符号问题)。尽管如此,作为量子多体复杂度的重要“战场”,魔法的研究是极为重要且亟待开展的。近年来,越来越多的研究者投身于多体魔法的研究之中。在临界性、量子混沌、AdS-CFT等领域,都涌现出了许多关于魔法的重要成果。然而,对于高维和大尺寸的不可积量子多体系统,我们仍然缺乏有效的研究工具。近期的一项工作填补了这一空白——我们提出了一个用于计算多体魔法值及其导数的有效蒙特卡洛算法,并用其研究了临界性、体积率(魔法随着系统大小线性增加)和非局域魔法[6]。
就像有很多物理量可以刻画量子纠缠一样,魔法也有诸多刻画量。此处我们考虑的魔法物理量为二阶的稳定熵(stabilizer Rényi entropy),对于纯态的魔法来说,它是一个在Clifford方案下满足单调性的良好度量[7]。在随机级数展开和虚时路径积分的语言下,它对应如下的流形(图1)。

图1:上图中共有四份复本(replica)。在每一份复本中,纵轴代表空间自由度(例如代表第一个格点),而横轴代表时间自由度。每个格点的状态被由算符组成的Pauli String和其他哈密顿量相关的算符依次作用,并在时间轴上演化。时间轴上的左右箭头表示时间是周期性的,即被所有算符演化完的末态和初态相同。
事实上,模拟这样的流形会产生一些符号问题(负概率)。我们工作的核心之一是,利用Pauli群的对称性将上述流形的模拟转化成一个在约化构型空间中采样约化Pauli String的问题,由此消除符号,并由此进一步计算稳定熵的值和导数。
在本工作中,我们主要讨论了1D和2D的横场伊辛模型的基态
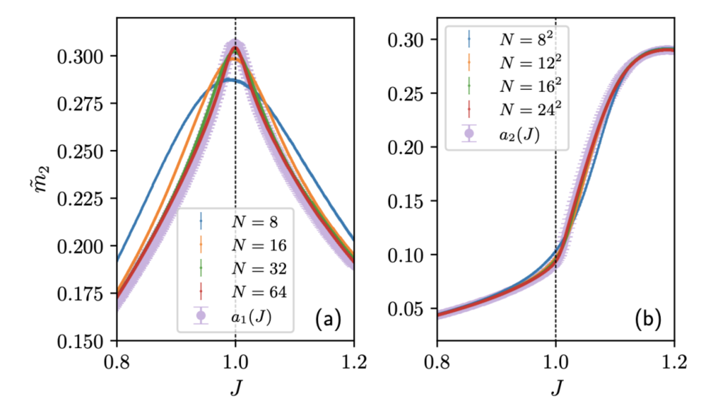
并通过选取合适的h使得Jc=1成为相变点。图2展示了稳定熵密度m2(对于本文中出现的所有图,默认左子图为1D的结果,右子图为2D的结果)随着参数J和格点数N的行为的变化。对于1D模型来说,相变点处魔法达到最大值,这与传统的很多物理量都类似。读者可能会觉得是由于相变处关联长度发散导致了最大值的产生,但是我们进一步研究2D系统发现,最大值存在于铁磁相的内部而非相变点处。这是一个很有趣的结果,告诉我们相变点不见得比一些简单的相更难在经典机器上模拟,另一方面也告诉我们,即使是同一个物相(破缺同种对称性),一些细节的变化也会导致模拟的资源大大改变。

图2:稳定熵密度m2在1D(左图)和2D(右图)横场伊辛模型中随参数J变化的行为。a1和a2是拟合出来的稳定熵的体积律系数,其和稳定熵密度十分接近,意味着体积律的正确性。
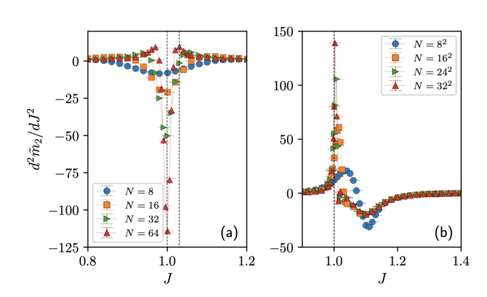
为了理解相变点奇异性对稳定熵的影响,我们进一步计算了稳定熵密度m2关于参数J的导数,并发现虽然原函数二者的行为迥异,但它们的导数均在相变点处发散(见图3)。

图3:1D(左)和2D(右)中稳定熵密度关于参数J的二阶导数随参数变化的行为。
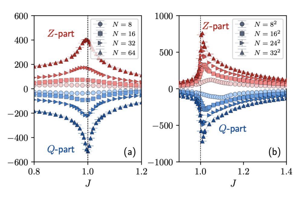
事实上,由于体系本身存在二级相变,而稳定熵密度中由自由能贡献的部分天然贡献了奇异性,因此很难断定该体系的多体魔法是否能够和临界性产生直接的关联。幸运的是,我们的方法允许分离来自自由能的平凡贡献(Z部分),从而留下与魔法更密切的特征函数贡献(Q部分)。惊奇的是,我们发现无论是1D还是2D的横场伊辛模型,非平凡的Q部分都具有奇异性(如图4所示)。进一步地,稳定熵密度的二阶导的奇异性则是部分和部分奇异性共同作用下的结果。

图4:1D(左)和2D(右)中稳定熵密度的二阶导数中平凡的Z部分和与魔法相关的Q部分的竞争。
图4的结果也暗示,对于一般的量子多体系统,魔法并不一定在(共形)临界点处达到极值。其行为可能是复杂多样的,并且和相变的阶数息息相关。
当我们在讨论一个量子态的全局(整个系统)魔法时,其可能是平凡的。比如,如果一个量子态是N个局域魔法态的张量积,那么此时魔法的体积率被严格满足(全局魔法由局域魔法构成),并且讨论全局魔法的大小并无太大的意义。又比如,当我们考虑下面的Phase GHZ态时
由于在Clifford操作下,其可以转化成与N-1个|0〉的张量积,所以该量子态中的魔法依然是局域且平凡的。
由此,我们可以想象,不平凡且有趣的应当是非局域的魔法,也就是全局魔法扣除所有局域魔法后多出来的那部分。若一个量子态具有非局域魔法,则我们无法使用局域的非Clifford量子门来抹除它,这与长程纠缠无法通过局域量子门抹除具有类似的特性。因此,非局域魔法具有探测和刻画诸如拓扑序之类的物相的潜力。在之前的研究中,大家一般讨论二分系统A+B中的互魔法(mutual magic)[8],其形式为
其中F是混合态的魔法度量。由于稳定熵并不是一个合法的混合态魔法度量,借由稳定熵来定义互魔法存在局限性。不过,经由我们前面的讨论,非局域魔法必然会反映到稳定熵的体积率修正上,这是之前的研究中被忽视的重要之处。在热力学极限下,任何局域的魔法贡献必然会被吸收到体积率的系数之中。而在有限尺寸下,相变点两侧的体积率修正也一般不同,因为两侧的关联所带来的魔法结构也不同。通过拟合1D和2D模型的修正项b1和b2,我们发现其在相变点处表现出极值和不连续的迹象(见图5),并且相变点两侧的魔法结构也不相同。也就是说,虽然全局魔法在相变点处不见得是最大的,因为其受到局域魔法的主导,但非局域的魔法由于在相变点处关联长度的发散而受到了剧烈的影响。事实上,很难想象这些非局域的魔法可以由少量的量子门操作得到。因此,我们推测体积率的修正是远比全局量子态的魔法更为有意义的物理量。

图5:1D(左)和2D(右)系统中稳定熵的体积率修正。
在过去几百年的探索中,物理学家逐渐认识到信息本质上是物理的,并在量子多体物理中发挥着至关重要的作用。然而,与计算相关的物理系统复杂性,尤其是量子复杂性的讨论,仍显得相对有限。随着量子信息学的不断发展,我们有理由相信,从计算科学的视角出发,将有助于我们在未来更深入地理解复杂而有趣的量子行为。
参考文献
[1]E.Chitambar and G.Gour,Quantum resource theories,Rev.Mod.Phys.91,025001(2019).
[2]N.Laflorencie,Quantum entanglement in condensed matter systems,Physics Reports 646,1(2016).
[3]S.Aaronson and D.Gottesman,Improved simulation of stabilizer circuits,Phys.Rev.A 70,052328(2004).
[4]M.A.Nielsen and I.L.Chuang.Quantum Computation and Quantum Information:10th Anniversary Edition.Cambridge:Cambridge University Press(2010).
[5]L.Susskind,Entanglement is not enough,Fortschritte der Physik 64,49(2016).
[6]Y.-M.Ding,Z.Wang,Z.Yan.Evaluating many-body stabilizer Rényi entropy by sampling reduced Pauli strings:singularities,volume law,and nonlocal magic.arxiv:2501.12146
[7]L.Leone,S.F.E.Oliviero,and A.Hamma,Stabilizer Rényi entropy,Phys.Rev.Lett.128,050402(2022).
[8]C.D.White,C.Cao,and B.Swingle,Conformal field theories are magical,Phys.Rev.B 103,075145(2021).