扫码打开虎嗅APP
本文来自微信公众号:一个生物狗的科普小园 (ID:Story-about-Science),作者:Y博的科普园,题图来自:AI生成
2025年4月2日,特朗普宣布对全球180多个国家实施对等关税计划,至少征收10%的关税或是更高的“对等关税”。
而特朗普的“对等关税”最早引发质疑,是在他向齐聚在白宫玫瑰园的记者们展示的全球关税列表里,其他国家对美国征收的关税高得出奇:中国对美关税67%,欧盟对美关税39%,越南对美关税90%。
这些数字与任何公开的关税数据都对不上。很快有记者发现,上述“关税”是用贸易逆差做出的粗陋计算,和关税毫无关系。
2024年美国从中国进口商品总额4389亿美元,中美贸易赤字2919亿美元,后者除以前者,就是特朗普口中的中国对美国征收了67%“关税”。美国从越南进口商品1366亿美元,赤字1235亿美元,赤字比例90%,成了特朗普眼里的90%“关税”。
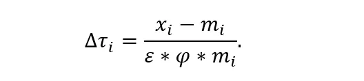
这种荒唐的计算被曝光后,特朗普团队给出了一个貌似复杂的关税计算公式,试图挽回颜面:

按特朗普团队的说法,别的国家对美国的出口设有从关税到行政规划等重重障碍,要单独计算这每一重障碍的影响很困难,可是这些障碍的总影响,可以通过双方贸易赤字来衡量。这也就是用贸易赤字计算“关税”的逻辑基础。
这个充满希腊字母的复杂公式里,左侧的t便是要达到“公平贸易”,美国需要对某国征收的对等关税,或者说是导致当下贸易不公的,该国对美国征收的“关税”。
右侧计算公式,分母里有两个看似复杂的希腊字母,ε和φ。ε乘以φ这部分是想表示关税对进口的影响,或者说关税以多大的杠杆在撬动进口需求变化。
其中ε代表进口需求相对进口价格的弹性(elasticity)。按经济学原理,当一样商品价格上升时,需求就会下降,这二者的对应比例关系便是一种“弹性”。放到这里,如果一样商品的进口价格上升1%,需求下降4%,该商品的ε就等于(-4%)/1%=-4,其中负号代表二者的负相关(进口价格上升,进口需求下降)。
特朗普团队引用经济学文献,认为所有进口商品平均下来的ε数值应为4(即前述例子里的-4)。
另一个希腊字母φ,代表进口价格相对关税的弹性,也就是增加的关税里有多少会反映到进口价格里。我们知道关税是针对进口商品的征税,必然会有提升进口商品价格的压力,可是,是不是加征10%的关税,这10%都会原封不动传递到价格上呢,还是有一部分被出口方或进口方自己“默默”承受了?φ反映的便是各相关方“忍”完后,进口价格能提升多少。特朗普团队还是引用经济学文献,提出φ是0.25。即关税涨10%,进口价格涨2.5%
即使我们假设特朗普团队的推论皆无误,那么公式里ε*φ这部分,就是4*0.25=1。根本不影响实际计算,纯属故弄玄虚!
真正影响特朗普提出的关税计算的,只有x(美国对该国的出口),m(美国从该国的进口)这两个数字。
而(x-m)/m,那就是美国对某国的贸易赤字/美国从该国的进口总额。与最初被记者曝光的粗陋计算完全一致。
但是,特朗普的故弄玄虚弄错了。特朗普团队宣称进口价格相对关税的弹性φ是0.25,进口价格只会涨上升关税的四分之一,证据是一位名叫Cavallo的经济学家和合作者在2021年发表的论文。
但是这位Cavallo(全名AlbertoCavallo)很快在社交媒体上辟谣,指出特朗普团队曲解他的论文,φ明明接近1,是0.945,不是0.25:

也就是说进口价格相对关税基本没有弹性,你涨多少关税,几乎都会原封不动体现到进口价格上。
特朗普团队犯的错误,根据保守派智库美国企业公共政策研究所(AEI)的推测,是把进口价格和零售价格搞混了。零售价格相对关税可能有0.25的弹性,这是因为零售商可能选择自己承担一部分关税成本,不把所有进口价格的上升传递到消费者。
但是,特朗普团队的关税公式里用以反映关税对进口影响的ε*φ,由于ε是进口量相对进口价格的变化,φ也必须是关税对进口价格的影响。不能前一个数字讲进口价格,后一个数字却代入零售价格。
如果代入正确的φ=1,那么特朗普团队计算出来的其他国家针对美国的关税,都需要除以4,对应的,特朗普的对等关税也需要全除以4。像对越南的对等关税46%,应为11.5%,对中国的34%应为8.5%,低于特朗普的基本关税10%。
当然,即使修正了计算错误,也不代表特朗普的关税计算是对的。因为特朗普关税犯的不仅是数学错误,连起码的逻辑都讲不通。
特朗普关税的底层思想基础是,美国与任何国家出现贸易赤字都是被坑了,都是对方征收了不公平的“关税”。
这种想法忽视了不同国家在产出与需求上可能有着天然不同,非常荒唐。
以日常生活为例,你就能很快明白其荒唐程度。相对超市,我们每个人应该都有巨大的“贸易赤字”——我们从超市买菜、采购各种生活用品,为此付出不少钱,但我们能说这是超市对我们进行不公平贸易,超市一定要购买我们家里的一些东西,把双方贸易赤字削减到0,才是合理的吗?
同样地,我们相对供职的单位会有巨额“盈余”,我们提供服务,对方付工钱,难道公司可以和员工说这是不平等贸易,你拿了工资后必须购买公司产品,直到贸易逆差是0吗?
生活中如果有任何人或公司以这样的逻辑生活、运营,我们都会认为他是疯了。
但这种疯子逻辑如今却成了全球最大经济体的外贸乃至经济运营思想,再狗血的编剧恐怕都想不出这样的荒诞剧情。
面对如此荒唐逻辑指挥的美国对外贸易,面对随便编个数字当作关税的情况,又让其他国家如何谈判,弥合与美国的分歧呢?
参考资料:
https://ustr.gov/issue-areas/reciprocal-tariff-calculationshttps://www.aei.org/economics/president-trumps-tariff-formula-makes-no-economic-sense-its-also-based-on-an-error/
本文来自微信公众号:一个生物狗的科普小园 (ID:Story-about-Science),作者:Y博的科普园