扫码打开虎嗅APP
质量是我们最熟悉的物理量,在非相对论情况下,我们似乎对它不会过多的关注。然而,在某些情况下,质量竟然可以“消失”?物理学家是如何实现的?
本文来自微信公众号:返朴 (ID:fanpu2019),作者:吴俊杰
在经典物理的世界里,质量被视为物质永恒不变的属性。然而,当科学家们深入量子领域,探索拓扑材料的奇妙特性时,却发现了令人震惊的现象:在某些特殊条件下,质量竟然可以“消失”!这看似违背常识的发现,正是当代凝聚态物理最前沿的研究成果之一。
质量是物理学中最基本的概念之一。自中学接触牛顿运动定律起,我们便与质量结下了不解之缘,仿佛“m”在考卷中无处不在,但鲜有要求去求解。在学到牛顿运动定律时,老师会告诉我们质量是一个恒定不变的标量,与物体的速度无关;牛顿第二定律则告诉我们,外力和加速度成正比,而质量正是这一关系中的比例常数。
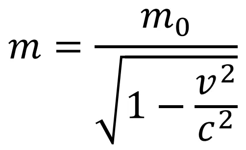
然而,当我们学得愈加深入时,就会发现当物体的速度接近光速时,牛顿运动力学不再适用。这时另一位物理学巨匠——爱因斯坦老先生带着他的物理定律闪亮登场:狭义相对论告诉我们,随着速度的增加,物体的质量不是不变,而是会随之增大。这一现象可以通过相对论质量公式描述:

其中m0是物体的静止质量,v是物体的速度,c是光速。显然,当物体的运动速度接近光速时,分母趋近于零,这导致质量趋向于无穷大,这一现象完美解释了为什么没有任何物体能够达到或超过光速。
讲到这里,笔者发问,质量是否会完全消失呢?这里我们先卖个关子,稍后会给出答案。
近期,在《物理评论X》(Physical Review X)中发表的一篇文章深入探讨了拓扑材料中半狄拉克费米子的实验发现。

拓扑金属中的半狄拉克费米子丨图片来源:Physical Review X
对于任何一个新的概念,我们首先尝试从这个概念的名词出发来进行联想,因为这些名词往往蕴含了其核心内涵。不然为何会选择这样一个名称呢?因此,在讨论拓扑材料、半狄拉克费米子之前,我们先简单解释一下什么是拓扑。
拓扑(Topology),源于英译,是一个抽象的数学概念,描述空间在连续变形(如拉伸、弯曲,但不涉及撕裂或粘合)下保持不变的特性。我们以“甜甜圈”和“茶杯”为例来直观理解拓扑的定义:甜甜圈和茶杯可以通过连续变形相互转换(如下图),因为它们都拥有一个孔洞,这是它们的共同拓扑特征。
相反,形成孔洞的变化是非平滑连续的,以至于我们可以通过孔洞的数目来区分它们。例如,要把一个球体转变成甜甜圈,无法通过上述的连续操作,必然涉及到球体撕裂出一个孔,因此球体和甜甜圈并不等价。

甜甜圈到茶杯的拓扑变换丨图片来源:Wikimedia Commons
在物理学中,拓扑概念的应用始于1980年量子霍尔效应的发现。随后,科学家们将拓扑理论扩展到三维材料体系,预言并证实了拓扑绝缘体的存在。这类材料的电子行为受拓扑保护,即使存在局部扰动也能保持稳定,因此在电子器件中具有重要应用潜力。
在众多的拓扑材料中,拓扑半金属(Topological semimetal)是一类兼具金属和绝缘体特性的材料,其电子能带结构中存在特殊的交叉点,称为拓扑节点。这些节点承载着狄拉克费米子或外尔费米子等准粒子。需要注意的是,这些“费米子”并非真实的基本粒子,而是电子与晶格相互作用产生的集体激发行为,类似于半导体物理中的“空穴”概念。

复杂多样的拓扑半金属量子态丨图片来源:《物理》
说了这么多,笔者这里要回答上述提出的问题:质量可以消失!但这需要特殊的体系来实现。若诸君欲探求其原委,请细心阅读以下篇章。
费米子(Fermion)是构成物质的基本粒子之一,遵循费米-狄拉克统计,具有半整数自旋(如1/2、3/2等)。常见的电子、质子、中子都是费米子,它们的集体行为催生了许多有趣的物理现象,如电导性、超导性等。
狄拉克费米子(Dirac fermion)是一种特殊的费米子,其能带色散关系通常呈现线性,即电子的能量E与波矢k成线性关系(E=ℏvFk)。这种线性关系表明,狄拉克费米子的能量与其动量的关系也是线性的。学过固体物理的小伙伴很清楚,在描述此类电子运动时,由于受到晶体内部周期性势场的作用,运动的电子已不再是自由电子,但我们可以将其等效为一个在自由空间中运动的电子。
这该如何处理呢?物理学家们通过引入有效质量的概念,概括晶体内部周期性势场对电子的影响,此时电子的有效质量是能量对波矢二阶导数的倒数。由于色散关系是线性的,并且在能量为零的点对称,这导致能量在交叉的顶点处不连续,进而导致二阶导数趋向无穷大,因此有效质量为零。
实际上,如果我们将电子算符在该顶点(高对称点)处进行傅里叶展开,可以发现,这类电子遵循相对论性狄拉克方程。与之相对,抛物线色散关系(E=ℏ2k2/2m)的电子具有非零有效质量,表现出有质量费米子的行为。
为方便理解,让我们以“神奇材料”石墨烯为例来具体说明。石墨烯的能带结构呈现出独特的狄拉克锥特征:在锥顶处,价带和导带相交,导致该处的电子有效质量为零。这一特性带来了两个关键结果:电子的费米速度高达光速的1/300,远超传统半导体;材料展现出超高的载流子迁移率和优异的导电性能。这些突破性的特性使石墨烯成为凝聚态物理和材料科学的研究热点,吸引了物理学家和化学家的广泛关注。

石墨烯的狄拉克锥结构丨图片来源:Review Modern Physics
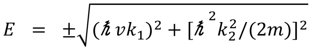
基于上述认识,半狄拉克费米子的概念就很好理解了。这一概念源于应变石墨烯的理论研究:在石墨烯中,低能激发通常会表现为无质量的狄拉克费米子;而当它受到单轴应变时,电子能带结构中的狄拉克锥会发生变形,导致能量色散在一个动量方向k1上保持线性,而在正交方向k2上变为抛物线关系。这种混合的色散关系产生了半狄拉克费米子,它结合了无质量狄拉克费米子和有质量费米子的特性,其能带色散关系公式及示意图如下:


半狄拉克费米子能带色散图丨图片来源:Physical Review X
尽管理论上普遍认为半狄拉克费米子存在于应变石墨烯中,但由于实验中难以实现所需的应变,直接观测这些费米子一直颇具挑战性。然而,随着拓扑材料研究的深入,科学家在实验上发现了不同费米子的回旋能量

常规费米子(黑线)、狄拉克费米子(橙线)和半狄拉克费米子(紫线)的回旋能量与磁场的关系丨图片来源:Physical Review X
基于此背景,美国哥伦比亚大学物理系的Dmitri N.Basov教授及其团队选择一种典型的拓扑半金属体系——ZrSiS(锆硅硫)作为研究对象,并揭示了半狄拉克费米子的实验证据。

ZrSiS单晶及其费米表面和节点线结构丨图片来源:Applied Physics Letters & Physical Review X
科学家利用磁光光谱学技术(一种测量光与材料中磁场相互作用的技术),研究团队取得了三项重要进展:在实验观测上,首次在固态材料中直接证实半狄拉克费米子的存在;在理论验证上,通过第一性原理计算,建立了节点线与半狄拉克能谱的对应关系;在模型构建上,发展出四带紧束缚模型,成功重现材料中的各类节点特征。

ZrSiS中费米子朗道能级跃迁幂律丨图片来源:Physical Review X
这一发现无疑是凝聚态物理领域的一个重要里程碑。它不仅首次在固态体系中直接提供了半狄拉克费米子的实验证据,而且为探索由节点线交叉点产生的复杂拓扑结构和相关效应搭建了理想平台。
半狄拉克费米子的独特性质不仅挑战了我们对质量和费米子的传统认知,还推动了物理学和材料科学的前沿研究。虽然这些发现目前可能与我们的日常生活还有些距离,但它们无疑为我们提供了探索量子材料世界的新工具和新视角,同时也为量子计算(机)的应用带来了希望。
参考文献
[1]Shao Y.,Moon S.,Rudenko A.N.,et al.Semi-Dirac fermions in a topological metal[J].Physical Review X,2024,14(4):041057.
[2]冯硝,徐勇,何珂,薛其坤.拓扑量子材料简介[J].物理,2022,51(9):624.
[3]Lv Y.Y.,Zhang B.B.,Li X.,et al.Extremely large and significantly anisotropic magnetoresistance in ZrSiS single crystals[J].Applied Physics Letters,2016,108(24):244101.

本文来自微信公众号:返朴 (ID:fanpu2019),出品:科普中国,监制:中国科普博览,作者:吴俊杰