扫码打开虎嗅APP
本文来自微信公众号:中科院物理所(ID:cas-iop),作者:Kasper Müller,翻译:xux,审校:Dannis,头图来自:《美丽心灵》
无论你是从事数学研究,还是从事物理研究,或多或少都会对Gamma函数有所耳闻。有人说它是世上最美的函数,这一点见仁见智。但是不可否认的是这一优美的公式确实极其重要。今天我们就来聊聊Gamma函数的由来,以及它背后的奇妙之处。
让我先问你两个问题:
1/2的阶乘是多少?
你最喜欢的函数是什么?
如果你的答案不是Gamma函数的话,等你读完这篇文章,我再来问一遍。你的答案或许会变……
18世纪20年代晚期,利昂哈德·欧拉(Leonhard Euler)在考虑如何将阶乘扩展到分数。故事就这样开始了:这个围绕着一个重要数学函数的、内涵丰富的理论应用到了整个科学界。

利昂哈德·欧拉
欧拉毫无疑问是最伟大的数学家之一,这里的几个例子可以让你一睹他天才的风采。
首先,欧拉有着超人的记忆力!他能把维吉尔的《伊尼特》从头到尾背下来,甚至能准确说出任何一句话位于哪一页的哪一行。要知道,《伊尼特》一共有9896行呢!
欧拉也是极度高产的。他在一生中写了大约3万页作品,据估计,十八世纪发表的科学论文中,有三分之一都肇始于他。他甚至在死后还发表了一篇文章!而且他的许多作品都是在失明后写成的,因此,欧拉也被称为 “数学界的贝多芬”。
贝多芬听不到他的音乐,同样,欧拉也看不见自己的计算。事实上,欧拉对于自己的失明十分乐观。他说:“这样,让我分心的事儿就更少了。”人们会觉得失明势必会拖他的后腿,但事实上,欧拉反倒更加高产了。
欧拉也有着非凡的计算能力。有一次,两位学生关于一个17项级数的和争执不下,因为他们结果的第55位有出入。欧拉用几秒钟心算出了正确的结果。
欧拉的同事尼古拉斯·德·康多塞特写了一篇长长的悼文,盛赞欧拉是“大自然创造出的最伟大和最卓越的人之一”。
说回来,彼时欧拉正在考虑如何扩展阶乘函数。下面就来讲讲欧拉的想法和随之而来的奇妙的性质。文章的后半部分会告诉大家,他赋予了(1/2)!什么意义,以及这个符号的值是多少。
讲故事之前,我们先来重温一下阶乘。它是前n个自然数的乘积。
n! = n * (n - 1) * (n - 2)⋅⋅⋅ 3 * 2 * 1
比如:
5! = 5 * 4 * 3 * 2 * 1 = 120
阶乘在数学中之所以十分重要,是因为它给出了排列方式的总数。假如你的书架上有12本书,你能用多少种不同的顺序把他们排列在一起?答案是12!种,也就是大约4.79亿种。
如你所见,阶乘函数增速惊人。它是超指数的(super-exponential):它比指数增长得还快。
凡是欧拉思考的问题,最终一般都能解决。但是,真正的伟大之处在于他解决问题的方式。接下来你会发现,他那富有创意的思路和天外来客般的想法是如此智慧。
1738年,欧拉用一种积分形式推广了阶乘的定义:

这里的log是自然对数(有时写作ln)。我们做一个替换:s=exp(-t),这里的exp是以e(这个数字也是欧拉发现的)为底的对数,我们得到:

于是我们就得到了这个漂亮的结果:

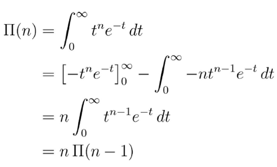
这就是欧拉的定义。要证明这个积分等于阶乘,我们把右侧的积分叫做Π(n),然后分部积分:

利用这个函数方程,我们就可以用归纳法来证明上面的公式。我们想要证明Π(n)=n!对任何自然数n成立。首先,注意:

即,Π(1)=1!
然后,假设Π(n-1)=(n-1)!,那么我们有 Π(n)=nΠ(n-1) =n(n-1)!=n!
这里用到了上面的函数方程。根据归纳法,命题得证。注意,上面关于Π(n)的定义,n并不一定是自然数。这个表达式对所有实部为正的复数都是讲得通的。
处理广义阶乘的现代方法就是Gamma函数。Gamma函数与刚刚的Π函数十分相似,定义如下:

注意:对任何自然数n,有Γ(n)=Π(n-1)=(n-1)!。因此,Gamma函数也满足一个相似的函数方程:Γ(z+1)= zΓ(z)。
所以Gamma函数是广义的阶乘函数,因为对所有的非负整数n,有Γ(n+1)= n!。
但这是推广Gamma函数的唯一方式吗?
不幸的是,答案是否定的。然而,如果我们添加某种约束的话,它就是唯一的了。这个约束与对数凸性(logarithmic convexity)这个概念有关,因为稍微有点偏题,在这里就不详细讲了。具体的要求是函数logΓ是凸的。
TIP:一个二次可微的函数f是对数凸的,当且仅当

重要的是,如果你想推广阶乘,Gamma函数在特定的数学意义上是一个十分自然的选择。
Gamma函数的定义和形式数不胜数。一个尤其nice的是一种无穷乘积。在此之前,我们试试从我们的定义中推出一些有趣的结果吧。
我们要做的第一件事可能看起来有些奇怪,但是在数学中,有时候就是要运用直觉做出尝试,然后看看逻辑把我们带向何方。
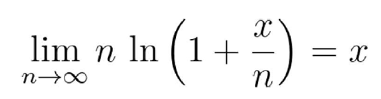
我们讲对数函数写成极限的形式,然后代入我们对Gamma函数的定义式中。首先,回忆一下:

这可以用多种方法证明。一个很显然的路子就是用洛必达法则求极限。但在这里,我们用另一种方法。记得闭形式几何级数吗:

这在|x|<1的情况下成立。
注意,若把x替换成-x,就得到:

现在我们可以对两侧进行进一步操作:

假设n>x,然后可以做代换z=x/n:

现在,如果我们取n趋向于无穷的极限,显然有:

以这个结果作为工具,算出最终的结果就是一件十分直接的事情了:

最一个简单的替换,就得到了下面这个等价的形式:

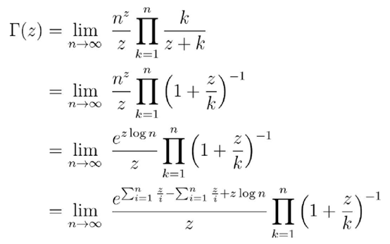
现在我们就可以在Γ(z)的定义中运用这个结果。

把极限符号右侧的积分记作I(n,z)。
多次运用分部积分,我们得到:

继续这种模式,最终消掉了1-t/n的指数项,我们整合一下就得到:

为了得到Γ(z),取极限

这本身已经是一个非常nice,并且很著名的结果了。但我们不想就此打住。
我们对这个极限继续做一些简单的操作:

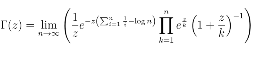
这里,我们在e的指数上加上和减去了Σz/i,这里的log仍是自然对数。
我们现在可以将指数化成多项的乘积:

回忆一下欧拉常数的定义:

若对上面Gamma函数的表达式取极限,我们就得到一个美丽的结果,叫做Gamma函数的Weierstrass积。

看,这是一颗数学的珍珠呢!在某种程度上,这是Gamma函数的一个更好的表达式,我们过会儿再回来。
数学中最美丽的关系式得益于欧拉。不过这次我说的不是他著名的欧拉恒等式,而是反射公式。欧拉发现了下面这个令人惊奇的结果,将Gamma函数与三角函数联系了起来。

证明如下:
顺便提一句,sin函数的无穷积也是欧拉发现的!
如果想看他的证明,你可以去读他的文章《Infinity in Numbers》。
Gamma函数的Weierstrass积可以写成:

通过比较Γ(z)和Γ(-z)我们就能得到:

然后我们可以运用Gamma函数的函数方程Γ(1-z)= -zΓ(-z)来导出:

很明显z不可为整数,否则分母为0。
Gamma函数在数学中可谓无处不在。从统计学、数论、复分析,到物理中的弦理论。Gamma函数就像把不同领域粘合起来的数学胶水。接下来我们将会看到,其实有个非常好的理由解释这一点。

黎曼Zeta方程
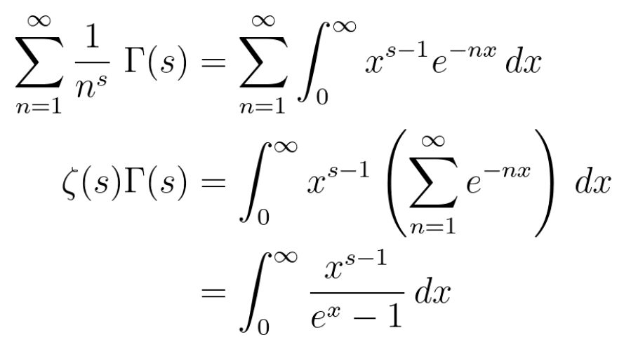
它对数论非常重要,原因之一就是它与黎曼Zeta方程有特殊的关系。我们再来看一下定义,但这一次围绕着一个替换展开。令n为自然数,然后作替换t=nx,我们得到:

由于这一结果对任何自然数n成立,我们可以对两边取和,得到:

于是我们得到了关于Zeta函数和Gamma函数的美丽关系:

然而,这只对Re(s)>1成立。
这是两个函数具有紧密关系的第一个提示。一个更深层次且更有趣的结果,也是我认为世界上最为美丽的函数方程,就是下面这个(这里我们不证明,直接给出):

伯恩哈德·黎曼(Bernhard Riemann)在1859年发现了它,它通过Gamma方程给出了Zeta方程的很多信息。
例如,在负偶数整数处可以清楚地看到ζ的平凡零点。这是因为,通过解析地将Γ(s)延续到整个复平面,我们看到它在非正整数处有极点。因为左边的Gamma因子在负偶数整数处发生blow up,而右边是有限的,所以在这些点上ζ(s)必须为零。
在理论物理学中,Euler发现的Beta函数,在1968年被意大利理论物理学家加布里埃尔·维尼齐亚诺(Gabriele Veneziano)用来描述强相互作用的介子。欧拉Beta函数可以定义为 B(x,y)=Γ(x)Γ(y)/Γ(x+y)。这是因为它描述了弦论中第一个已知的散射振幅,在某种意义上是解决这个问题的唯一方法。这也与Γ的负整数的极点有关。
另一个非常漂亮的结果是Gamma函数的增长。这就是所谓的斯特林公式:

这意味着上面两个边的增长的量级是相同的,即当z趋于无穷大时,它们的比值的极限趋于1。
在推导Γ(s)ζ(s)的积分公式时,我们对两边求和,并构建一些级数。欧拉没有这样做,他做了一些辉煌的事情。他做了一个更一般的替换,然后他的头脑爆发出创造力,最终提出了一个包含各种有趣的东西的惊人的公式。让我们看看他是怎么做到的,以及这些公式是什么。

在欧拉的时代,人们对复数分析了解并不多,但欧拉具有一个奇妙的直觉,因为他知道当w是一个正实数时,这个关系是成立的。他还考虑了当w是复数,且w的实部大于0的情况,假设w属于复数且w实部大于0,通过对上面方程的两边求共轭,可以得到:

这是一个绝妙的想法!
假定w=a+bi, w的辐角为θ,且辐值为r,也就是w=r*e(iθ)。让我们以一种有趣的方式重新写一下上面的方程式

很快我们将意识到这一公式里面有很多看起来非常漂亮的关系。
最后把它写成相应的实部和虚部的形式(使用举世闻名的欧拉恒等式),并考虑这两个公式都隐藏在符号里。

这些公式具有难以置信的美。
注意他们是Gamma函数的推广,因为当w=1时,我们可以从余弦积分方程得到Gamma函数的定义。
接下来,我们将使用欧拉积分去求解Dirichlet积分。

狄利克雷(Dirichlet)
这是一个有趣的问题。方程式如下:

这也是一个非常著名的问题,并且有很多方法去求解它。比如拉普拉斯变换、双重积分,甚至费曼路径积分!
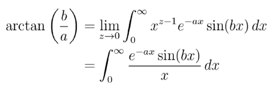
我们试着从欧拉公式来推导Dirichlet积分。事实上,我们将把这一问题推广到更为广泛的结果,Dirichlet积分只是一个特殊的结果。为了实现这一目的,我们先使用欧拉对称公式去重写sin函数的左边。然而,在我们回顾微积分之前,我们可以用洛必达法则来证明:

我们对欧拉正弦积分公式的左边做一点变换,

根据上面的计算,我们知道

当-π<θ<π,我们有

因此,通过对右边取极限,我们得到:

这是一个相当好的公式。
注意,当a趋向于0时,那么在方程右边所有b不等于0的实数都将趋于π/2,也就是说,以下观点成立:

在特殊情况下w=i将解出Dirichlet积分,因为此时a=0,b=1。所以Dirichlet积分I=π/2。
让我们回到开头的问题。当Γ(n+1)=n!对于所有的非负整数n,我们可以通过计算使(1/2)!具有意义。但是我们怎么做呢?首先,通过方程Γ(z+1)=zΓ(z)将这一问题进行简化。因为Γ(3/2)=1/2Γ(1/2),因此只需要找到Γ(1/2)就足够了。
在z=1/2时,再次使用欧拉的反射公式:

因此,我们可以得到:

结果就显而易见了。
现在让我再来问你一遍:你最喜欢的函数是什么?
原文链接:
https://www.cantorsparadise.com/the-beautiful-gamma-function-and-the-genius-who-discovered-it-8778437565dc
本文来自微信公众号:中科院物理所(ID:cas-iop),作者:Kasper Müller,翻译:xux,审校:Dannis