扫码打开虎嗅APP
本文来自微信公众号:孤独大脑 (ID:lonelybrain),作者:老喻,题图来自:《黑客帝国:矩阵重启》
我们总是想要更多的钱。
部分原因是:钱、物品,是可以叠加的,即使边际效用会递减。
但许多东西并不能叠加。
例如,你有好几个手机。可你从手机得到的好处,几乎不会大于其中最好的那一个。
我从一个伊朗人那里,也听到了类似的关于多配偶的感慨。这是《唐伯虎点秋香》里周星星有那么多如花似玉的老婆却还不幸福的原因。
应急手机则是通过其小概率状况下的差异化来实现价值。例如一个iPhone一个华为,一个移动一个联通,一个信号不好的时候换另外一个。
快乐亦难以叠加,快乐只是共鸣,如同孤独之火。
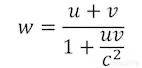
又例如,光速与任何速度叠加依然是光速。
如果有人在光速飞船上跑步,那他的速度会超过光速吗?并不会。
我们的经验是,如果你在一个以20公里/小时速度行进的火车上,以20公里/小时速度向前扔一个苹果,那么这个苹果相对地面的速度是40公里/小时。
然而,这种速度叠加方法,只是相对论的近似,仅适用于速度远低于光速的牛顿世界。
相对论给出的速度叠加公式如下:

如上,在速度远低于光速之时,w≈u+v。
当我们来到亚光速环境,就不能忽略掉分母里的那个因子了。
如果你在飞船内部跑步,从你自己的观点看,你仍然是在正常跑步。
然而,对于外部的观察者来说,他们会看到你的时间变慢(这被称为时间膨胀),并且你的空间被压缩(这被称为长度收缩)。
这两个效应结合在一起,使得你的总速度(即你的运动速度加上飞船的速度)永远不会超过光速。
叠加有时候是以乘法来实现的,例如复利公式:

最近看到一个好玩儿的问题:全世界所有人头发数量相乘等于多少?
答案是零。因为只要有一个人没头发,这一串数字相乘的积就是零。
所以,多少富豪的财富因为这乘法叠加而归零。
因为人生并非加法式的叠加,而是乘法式的叠加。
小赌徒是一点点被割光;而大赌徒是经常赢,长期赢,有时还赢很多,然后因为一把(看似小概率的)巨大的输而被割光。
再回到我们每个人的现实世界。
对个体而言,不能叠加,是由于空间和时间对个体而言的唯一性。
关于空间唯一性,一个人无法同时睡两张床,除非是塌掉的上下铺。
聪明人想,我无法同时睡两张床,那我可以不同时间睡两张床啊。
这就是人们对于度假屋的幻想。
然而,海南大量的空置度假屋告诉我们这只是一个幻想。
关于时间唯一性,海明威说过:“人生最大的遗憾,是一个人无法同时拥有青春和对青春的感受。”
人类在奇点到来之前,注定是一种只能寄居在时间之“点”上的浮游动物。
1
那么,可以叠加的是什么?
仍然是时间和空间,以及基于时间和空间的可能性。
爱因斯坦的宇宙是四维时空,本文的“叠加宇宙”包含了时间、空间、可能性,以及记忆,也许算是六维。
可以叠加的时间,如普鲁斯特的似水年华:时间与时间叠加,发生过的时间与未发生过的时间的叠加,时间与气味的叠加......时间被打乱,被叠加,被展开,被用虫洞装订起来。
可以叠加的空间,则似未发生的平行宇宙与现实:即,未来的不同可能性。
《星际穿越》里,12位宇航员同时出发去找寻外星殖民地,这是用空间的叠加来应对时间的不可叠加。
这有点儿像一个人去赌场玩儿扔骰子的游戏,他有机会扔十二次,也可以选择让11个朋友帮他,大家一起各扔一次。
“可能性事件”的空间,更像是一种隐喻。我喜欢的一个关于未来的诸多可能性的模型,来自不可移动的树木。
具体而言,是树木向上生长的样子。
尽管人们喜欢用树木的生长来形容人的成长,但从形态上来看,树木具有人所没有的开放性,以及叠加性。
人的未来的诸多可能,是不可见的,至少是我们的双眼和大脑无法直接洞见的,需要等时间来揭晓。
树的未来的诸多可能,就是其许多个向上的树枝。大多数树木,尤其是在其早期,树枝向上生长,并不局限于一种可能。

树枝有点儿随机地、发散地向上,它同时探索多种可能性,并令这些可能性在物理空间中并存。
人所没有的“多种可能性”并发,树有。对树木而言,多种可能性被叠加在一起,仿佛多个平行宇宙的共存。
这正是树的奇妙之处:叠加时间、空间,以及未来的诸多可能性。
对人而言,相似形态的只剩下象征意义的头发了。当然,还应该包括大脑神经元,以及由很多人形成的组织。
而第六维度的记忆,则自由流淌于一千亿个神经元的结构之中,感知“真实”,怀疑“真实”,重组真实。
所谓意识,或许是如上种种叠加之上的涌现而已。
2
大自然并不急躁,然而她却似乎什么都完成了。
诗人会说:“在种子中,未来的森林已经存在。”
然而,大自然是一位随机的画家。
机遇像阳光,洒向大地,但只有少数种子吸收了阳光,发芽成长。
随机就是大自然的灵感,亦是人类因果的源泉。
1987年,那时的微软市值只有现在的万分之一多一点儿,在IBM的阴影下求生,像一株小树苗。
多年以后,在商学院课程和成功学教材里,人们都在讲述盖茨如何以Windows操作系统一举跃至浪尖,哪怕其间起起伏伏,现在仍是地球上市值最高的公司之一。
而事实并非如此。人类是生活在时间流中的三维动物,未来的可能只是一种假设,平行宇宙也没法用期望值计算来简单叠加。现实似乎不可撼动,却又晦暗不明。
盖茨选择了向树学习。年少的微软同时向上伸展出6根枝干:
第一、继续投资MS-DOS;
第二、把IBM当作真正的威胁;
第三、参与Unix的联盟游戏;
第四、收购了个人电脑Unix系统最大卖家的大多数股票;
第五、继续投资应用软件;
第六、将主要的投资放在Windows上。
树的向上生长的多样性,并非杂乱无章,而是遵循阳光、重力和生长素的基本作用。
微软当年的6根枝干,其阳光、重力、生长素,是盖茨设立的一个高层次愿景:成为领先的个人电脑操作软件公司。
即使是对的事情,想要做对也充满了不确定性。这种不确定性,不是因为看不清未来,而是连未来自己都不知道自己在哪儿。
所以,盖茨和树一样,“创造了一系列有可能朝着这愿景进化的战略试验组合”。(以上案例来自《财富的起源》。)
盖茨向大自然学习了“自然选择”。大自然是最冷酷的工程师,在约束和取舍之间极端理性,极端果断。
例如,鸟就只有双脚和翅膀。假如是人类工程师来设计,可能会让鸟多出一双哪怕是小小的手。
可是,绝大多数人并无法理解“未来可能性的叠加原理”。
当人们回望,只能看到当事人“成功剪枝”之后的景观与传说。
例如,有人会相信,马斯克按照“S3XY”的顺序,“巧妙”设计了系列车型的名称——如同传统文化深处对诸葛亮式神机妙算的崇拜。
真相是:生物的进化,看起来就像一个设计师的工作,但这个设计师有很大的不同,他并不是一个前瞻的工程师。

他让各种可能如同树枝般一起向上发生,在适应环境中被环境选择。
自然选择不能预见未来,亦无需预测未来。
聪明人在我们这个现实世界里,混合了自然界与人类社会的智慧。
这类智慧非常稀缺,它有一种反向试金石,名为:“天钩”。
3
天钩是中国古代星官名,属二十八宿北方玄武危宿,由九星组成,形成钩状。
在希腊神话里,“天钩”这个术语是指神祇可以通过一个金钩从天上钓取任何他们想要的东西。
在现代,“天钩”经常被用来形象地描述一种从上至下地解决问题的方式,或者是指一个核心的、关键的要素可以引导和决定整个系统的行为和结果。
然而,“天钩”理论在各个学科中的解释和应用可能有所不同。
在生物学中,有些人可能将“天钩”看作是一种从基因到表型的决定论的观点。
在这种观点中,基因被视为生命的“程序员”,决定着生物体的所有特性。然而,这种观点忽略了环境因素和随机事件在生物体发育中的重要作用。
“如果让时光退回到人类进化史上的任意一个时间点,重新开始会怎样?”古生物学家古尔德曾如此设问。
他的观点是,即使“把生命诞生的过程重复一百万遍,也不会再次看到类似智人的物种出现”。
为什么?因为偶然。包括那些巨大的偶然,例如行星撞地球;以及微小的偶然,例如某人一闪念。
古尔德与别人共同提出了“间断平衡” 进化理论。该“理论认为:生物的进化并不像达尔文所认为的那样,是一个缓慢的渐变积累的过程;进化是长期的稳定甚至不变与短暂的剧变交替的过程,从而解释了化石在地层中为什么会有许多空缺之处。
古尔德并不因此而不是忠实的达尔文主义者,但他认为达尔文理论的核心是自然选择,而不是生存竞争或生物渐变论。
他非常推崇自然选择在生物进化中的作用,也承认自然选择不是唯一答案,而是最重要的答案。
对于如上观念,我喜欢的说法是“大海塑造了船只”。这绝非满怀激情的隐喻,也不是对船舶设计师一代又一代智慧的否认。但事实的确如此,大海选出了生存者,并令其设计中的某些DNA得以延续。
如此说来,也许可以将选择分为自然选择、人工选择,以及人工模拟自然选择。(请注意,和本文所有文字一样,有些概念和名词可能是作者胡造的。)

自然选择和人工选择
Image created with biorender.com
在经济学或社会科学中,有些人可能将“天钩”看作是一种中心化的、从上至下的方式。
反对“天钩”理论的人,他们强调了系统的复杂性,以及在系统中各个部分之间的相互作用和反馈机制的重要性。
于是,许多理论和观念越来越倾向于从下至上的、基于分布式和自组织过程的观点。
这一代大火的AI,亦是如此。
ChatGPT的训练过程是基于数百亿的文本片段,这些文本片段是从网络上获取的各种各样的文本,包括书籍、文章、网站等。
在这个过程中,并没有一个明确的“指挥中心”告诉模型如何回答每一个特定的问题,相反,模型需要自我组织和学习如何理解和生成语言。
更具体地说,ChatGPT使用了一种叫做Transformer的神经网络结构,这种结构包含了数百万个小的单元(神经元),每个单元都在同时处理信息,并与其他单元共享信息。
整个网络的行为是通过在大量的训练数据上优化一个目标函数来自我组织的。
这个过程没有明确的顶层控制,而是由网络自身的动态和学习规则来驱动的。
所以,可以说ChatGPT是一个自下而上、基于分布式和自组织过程的系统。
这也是为什么它能处理如此广泛和多样的任务,同时具有高度的适应性和泛化能力。
然而,善于辩论者依然会说:算法不就是ChatGPT的“天钩”吗?盖茨不就是微软的设计师吗?
4
命运的叠加,注定会遭遇决定论的因果迷失。
决定论,或称拉普拉斯信条,是一种哲学观点,即所有事件都完全由先前存在的原因决定。
决定论通常与自由意志形成对比,尽管一些哲学家声称两者是兼容的。
决定论认为,自然界和人类世界中普遍存在一种客观规律和因果关系。
一切结果都是由先前的某种原因导致的,或者是可以根据前提条件来预测未来可能出现的结果。
其重要的观点即是:“有其因必有其果”。又或如黑格尔的名言:“凡是合乎理性的东西都是现实的,凡是现实的东西都是合乎理性的”。
决定论的反面是某种非决定论或随机性吗?未必简单如此。
爱因斯坦在研究布朗运动时,表现出对随机性的卓越理解,即使他是坚定的决定论的捍卫者。爱因斯坦在给马克斯·玻恩(又说是波尔)的一封信中写道:“你信仰投骰子的上帝,我却信仰完备的定律和秩序。”
爱因斯坦反对的不是概率论,他反对的是将概率论作为物理定律本身,反对超距作用,反对鬼魅之力。
今日,如你我所知,“贝尔不等式”的不成立,表明爱因斯坦所主张的隐变量理论不正确,量子纠缠这种鬼魅般的超距作用的确存在。
但哲学意义上的争辩仍在继续。
决定论的最大悬念是,如果一切都由因果关系决定,一切皆可预测,那么自由意志的容身之地在哪儿?

霍金对此有过精彩的陈述:“我曾经注意到,甚至声称一切都是注定的,而且我们不能对之有任何改变的人们,在他们穿越马路时也要先看一看安全否。也许是因为那些不看路的人不能存活来告诉我们这个过程。”
他认为自由意志的概念和科学的基本定律是属于不同的范畴:“如果人们想从科学定律推出人类行为的话,他就会在自参考系统的逻辑悖论中陷入困境。”
这就像所谓的“先知悖论”:某人到达未来,得知将发生的不幸结果A,他在现在做出了避免导致结果A的行动,到达结果B。那么结果A在未来根本没有发生,他又是如何得知结果A的呢?
这又让我想起了那句话:每个人都在试图改变命运的途中,与自己的命运不期而遇。
概括而言,在“决定论”这一命题上,我偏向于霍金的观点:用“物理定律+自然选择”的方法来理解人的自由意志。
从物理定律的角度看,“我们宇宙的无聊细节之所以产生,是因为基本定律和具有不确定性或随机性的量子力学相结合。”这其中也包括了我们无聊大脑里的100亿亿亿颗粒子的随机性和不确定性。
从达尔文理论的角度看,“相信自由意志并为自己行为负责看来肯定具有存活的优势。这意味着自然选择应加强这种信念。”
那么,命运到底是注定的,还是由无数个微小的结果叠加而成?
5
最近我喜欢上了杂木花园。
杂木从样子看介于大树和灌木之间,茂盛,轻盈,多个主干蜿蜒向上。
在某种意义上,树木有自己的“平行宇宙”。
杂木花园尤其需要修剪,在向上的许多种可能中,园艺师从审美的角度留下一些,剪掉另外一些。

于是,杂木的美,混合了树的秩序与随机,以及人的审美和修剪。
可是,对于后来看到这棵树的人,并不知道树的生长过程和修剪过程。人们甚至可能看不出修剪。又或者,人们会过于将杂木的崎岖之美归功于园艺师。
例如人们对乔布斯的“简单”的迷恋。
乔布斯像一个手艺高超下剪残忍的园艺师,然而人们对他的“剪功”的误读,仅次于对他的“追随自己的内心”的盲从。
早年的苹果,几乎做了微软所做的所有事情,外加做各种硬件。
面对过于繁杂的上百个枝干,重返苹果的乔布斯挥下剪刀,只留下四根枝干。

修剪决策树示例
问题是,绝大多数公司,绝大多数人,自己所有的枝干加起来也不够四根。
你无法修剪你并不拥有的东西。
可能性,是一个人可以拥有的最宝贵的东西之一。
所谓希望,就是人对自己拥有的可能性的主观判断。
我喜欢杂木花园,亦是自己对时光的某种希望。
杂木庭院,是日式的自然风庭院 。“杂木”,一指种类多,二指有别于针叶树阔叶树。
森林里的树木,为了争取阳光,一心向上求生,少了植物所特有的那种并发性。而杂木花园里的树形,则从容而飘逸。它们弥漫开来,仿佛可以让时光也顺着这蜿蜒而减速。
我盖了栋房子,打算不再搬迁,再种上一个杂木庭院。
我要求设计师做到“历久弥新”。我希望房子不会因为岁月而失去什么,不会起初很新但不耐久,不会起初很富丽堂皇不久就败落,不会起初很潮流很快就过时。
我想要这栋房子不仅耐得住时光,还因为这时光愈发醇厚。它牢固,但并非刀枪不入。它不介意氧化、残缺、雨痕,反倒以岁月的痕迹来积淀岁月本身。
房子本身像是一棵树,那些瞬间的永恒成为生长的枝干,层层叠叠,散发着森林的幽香。
过去的二十多年里,我几乎总在搬迁。看似越搬越大,越换越好,其实是在无以叠加的时光里流浪。
我羡慕那些真正被某个城市收留的人,渴望有一个对自己而言能永久收容记忆的居所。但,是否恰恰因为这流浪,幻想的种子才得以残留于时光溪流的石缝中?
于是,我在现在的院子里种下很多树,夹杂着期待,以及尚在减速中的“太急”心态。
杂木不仅叠加未来的可能性,也积淀过往的已发生。一个动人的杂木花园需要花上十几年或者更久长满苔藓、枝繁叶茂,小径上石板的残缺融入周围。
四季变化,花红柳绿,蜂鸟悬浮,瓜熟果美。当你步入其间,过往的记忆,当下的体验,未来的可能,似乎都被叠加在一起了。
6
“在危险中,那海参把自己分割成两半:
它让一个自己被世界吞噬,
第二个自己逃逸。
它暴烈地把自己分成一个末日和一个拯救,
分成一个处罚和一个奖励,分成曾经是和将是。”
在希姆博尔斯卡的这首《自切》里,这位波兰女诗人依然是在一个线性时间的三维世界里,揭示了灵魂与肉体、留名与遗忘的双重性。
海参通过肉体裂开一个豁口,将身体分成两个自己。这似乎是人类羡慕且试图在元宇宙里来模仿的超能力。
在时间与空间的唯一性的幻觉里,我们常常会有一种对于命运牵引的疑惑:
人生真的会有所谓节点?
节点上真的会有所谓分岔?
当我选择了向左行走,右边的小径消失在哪里了?
这个世界对微不足道的我的微不足道的选择是不是压根儿无动于衷?
在概率的平行宇宙里,也许我们就是一只能将自己分作很多个的海参,有些是沿着时间叠加 ,有些是沿着空间叠加。
沿着时间叠加:某对夫妻第一年生了个孩子,是女孩的概率为1/2;第二年又生了一个孩子,是女孩的概率为1/2。那么两个孩子都是女孩的概率是1/2 x 1/2=1/4。
这个简单的乘法,背后蕴含着关于可能性叠加的种种令人迷惑之处。
这类沿着单向度的线性时间所叠加的概率,只能应用于未来,并且经常因为样本量不够大而“不发生”。
例如赌徒谬误。一个标准硬币连续五次朝上的概率是1/32,是五个1/2的叠加;而当一个硬币连续扔四次正面都朝上,第五次的概率与前四次毫无关系。
例如那个笑话:某人害怕飞机因炸弹失事,于是他自己带了一个炸弹上飞机。“逻辑”是,假如飞机上出现炸弹的概率是万分之一,那么同时出现两个不相关的炸弹的概率是两个万分之一相乘等于亿分之一。所以自己带一个炸弹会降低遇到另外一个自己无法控制的炸弹的概率。
概率本来就诞生很晚,概率的叠加,更是我们那养成于原始森林时代的大脑所无法直观感知的。
赌徒谬误和炸弹笑话,是有趣的隐喻,它告诉我们与选择有关的决策,只与未来有关。决策树是为明天而修剪。
以上是时间维度,再说空间维度。
沿着空间叠加:一个正常骰子得出某一面的概率是1/6,得出偶数的概率是三个1/6叠加,等于1/2。
人们需要借助概率来感知“可能性”。概率的公理化定义看似非常简单,但却直到1933年才由安德烈·柯尔莫果洛夫给出。
柯尔莫果洛夫的公理系统是现代概率论的基础,它将概率论与测度论(一种处理无穷过程的数学工具)紧密地联系在一起。以下是柯尔莫果洛夫的三个概率公理:
1. 非负性公理:对于任何事件E,其概率P(E)大于或等于0。
2. 规范性公理:整个样本空间Ω(所有可能的结果)的概率P(Ω)等于1。
3. 可加性公理:对于任何可以互相排斥(即不能同时发生)的事件E1,E2,E3,……,其并集的概率等于各个事件概率之和。即:如果E1、E2、E3...是两两互不相容的事件,则P(E1∪E2∪E3∪...) = P(E1) + P(E2) + P(E3) + ......
这个公理系统提供了一个明确和一致的框架来定义和计算概率,它使得我们可以将复杂的概率问题分解为更简单的部分来处理,并且可以应用到更广泛的问题中,比如连续事件的概率等。
也许我们可以借由树,来感知抽象的概率世界:
1. 向上的枝干是未来的可能性,也是你的选择权;
2. 你必须残忍而果断地修剪,否则会害了整棵树;
3. 眼下看起来最好的那个枝干,也许只是局部最优陷阱。所以,让更多的枝干再长一会儿;
4. 人或企业的第二曲线,大概率是第一曲线的延伸,但也可能只是另外一座山峰。
7
1881年的某天,尼采正沿着湖边行走,见一块小鹅卵石从岩层上飞下,他突然冒出一个思想实验:如果一个魔鬼告诉你,你的生活将会无数次地重复,你会怎么回应?
在1882年的《快乐的科学》中,尼采更详细地描述了这个思想实验。他问道:“如果你被告知你的生活将会一次又一次地重复,没有任何新的变化,你会如何反应?你会感到恐惧和绝望,还是会欢迎并接受这个可能性?”
这就是所谓的“永恒重现”或“永恒轮回”。
尼采认为,这个问题并不仅仅是一个抽象的思想实验,而是关乎我们对生活的态度和价值观的核心问题。
“如果我们能够欢迎并接受生活的重复,那么我们就真正地接受了生活,我们就真正地成为了我们自己。”
马克·斯皮茨纳格尔说自己第一次读到永恒轮回时,感觉如醍醐灌顶:“我开始用不同的眼光看待事物。每一刻似乎都慢了下来,不知怎的变得完美了,即使事实上并非如此。”
在《避风港》一书中,斯皮茨纳格尔对现实世界的“期望值”提出了拷问。大意如此:
1. 聪明人知道,如果你参加一个60%胜率(赔率是1)的游戏,你每次下注100元,你的期望值是100×60%-100×40%=20元,所以你只要持续玩儿这个游戏就可以了;
2. 问题在于,谁会给你这种游戏的机会呢?事实上,只有赌场和平台可以在大规模重复中,享受大数定律的财富效应,利用一点点貌似微不足道的胜率优势,把对手的钱割光;
3. 在现实中,我们并非有很多次下次机会。广义而言,我们只活一次,就像只扔了一次骰子,N=1。
例如,即使你参与了一个胜率高达90%(赔率也是1)的游戏,你依然可能会输,落在10%的倒霉区间里。
那么,你该如何计算期望值,又该如何决策呢?
你如何做到如参与尼采的“永恒轮回”实验,并每次都说“永不后悔”?
斯皮茨纳格尔又笨拙(如同一个绝顶聪明的人在试图向普通人讲道理时的样子)地打了另外一个比喻:
我们假设,让你懊恼的是第二天或第二天晚上,另一个魔鬼潜入你最孤独的内心深处。这个魔鬼告诉你,你无须不断重温此生,而是可以经历无数次平行的、别样的人生。
他大声说:“别相信昨晚那个魔鬼,你不必无限重复一种人生,你要过的是无限多种不同的、平行存在着的人生。”
显然,在这个思想实验里,N=∞,大数定律显形,每次期望值都能稳稳地兑现。且称该魔鬼为薛定谔魔鬼吧。
聪明如你看出来了,这像是单一的主观概率试验与多次频率概率学派的试验对比。
现在,让我们分别和薛定谔魔鬼与尼采的“永恒轮回”魔鬼赌一把:
扔一个骰子,赔率为1,得到“6”你赚50%,得到“1”你赔50%,得到“2、3、4、5”你赚5%。
让我简化一下《避风港》一书冗长的讲述吧:
A. 薛定谔魔鬼玩儿的是一场算术平均数的游戏,其单次期望收益率计算是:(-0.5+0.05+0.05+0.05+0.05+0.5)/6=0.033

B. 尼采的“永恒轮回”魔鬼玩儿的是一场几何平均数的游戏,其六次期望收益率计算是:1×1.05×1.5×0.5×1.05×1.05×1.05=0.912

以上两图来自《避风港》
所以,同样的游戏,结果大相径庭:
A. 你和薛定谔魔鬼玩儿是赚钱的,而且会有惊人的复利效应;
B. 而和尼采的“永恒轮回”魔鬼玩儿,你会输钱,而且很快就会归零。
我们在现实世界玩儿的,并非计算“算术平均数”的加法,而是计算“几何平均值”的乘法。
财富是以不均匀、不连续的乘法而叠加的。
斯皮茨纳格尔似乎对这两个看起来并不复杂的概念太较真了,但他说中了要害。
而且,他聪明地耍了个小小的花招——尼采的“永恒轮回”在扔骰子时,并非重复同样的结果,而是重复同样的概率游戏(结果却不同)。
我喜欢《避风港》这本书,有好几个段落,我也写过类似的观点。我甚至在此前的文章里搭建过类似的架构。作为一名金融外行,我单纯地为这种知识上的所见略同而愉悦,多少缓解了自己常在生活中干蠢事而生的自责。
斯皮茨纳格尔表达了一种投资角度的整体观,他强调了“所有下注在整体上具备的属性(尤其是几何平均数或财富中位数)是累加单次下注所不具备的”。
单次下注的再平衡和复利效应被不断迭代,整体属性来自这种交互作用。
如果更细致地观察我们的骰子游戏,你会发现《避风港》大幅增加期末财富的原因是游戏的迭代性质。
每次掷骰子结束,赌注的规模被重置或再平衡,为下一次掷骰子提供资金。
在尼采的“永恒轮回”魔鬼的支配下,期望值、胜率、下注比例,被时间串起来,叠加为一个有机整体。
复利并不均匀,时间甚至也未必均匀。
我们可以说有机个体,可以说有机系统,也可以说有机时间。
斯皮茨纳格尔在该书中的核心观点是:我们无法通过分散投资来规避风险,而是应该利用黑天鹅事件,通过低成本“保险”获得补偿,既降低风险,又能通过提高几何平均数来放大复利增长效应。
“就像少许盐是最重要的配料一样,当爆炸性的暴跌期收益被添加到投资组合中以降低系统性风险时,它们不仅会改善最坏的结果,还会提高投资组合的财富中位数或复合年均增长率。”
如古谚所言:生活不是等待风暴过去,而是学会在雨中翩翩起舞。
8
世俗世界的概率叠加,比哥本哈根派的“波函数坍缩”更令人疑惑。
爱因斯坦无法接受鬼魅般的超距作用,更不愿意相信所谓“既在又不在”。
在量子力学里,双缝实验是一种演示光子或电子等等微观物体的波动性与粒子性的实验。
该实验的令人疑惑之处是,单独电子似乎可以同时刻通过两条狭缝,并且自己与自己干涉。那么,电子是穿过左边的狭缝呢,还是右边的?
对此,费曼只是给出了路径积分的数学描述。而“哥本哈根诠释”则认为:当我们未观测时,它的波函数呈现两种可能的线性叠加。而一旦观测,则在一边出现峰值,波函数“坍缩”了,随机地选择通过了左边或者右边的一条缝。
对科学的爱好,往往将人带往三条不同的路径:科学,文学,玄学。尤其是量子力学。
与其如此,不如让我们抽身回来,来探寻这个俗世的“双缝实验”。
赌场对人的最大诱惑之一,就是即时“坍缩”。
赌场里下注,立即可以见到结果。将此总结为即时满足并不精确,赌徒获得的其实是与概率共舞的幻觉。
现实中,概率总是躲在暗处,你付出未必有回报,耕耘了很久才会见结果,你不得不在晦暗中前行。
赌场提供了一个人生加速器,就像人们看电影或者小说,会好奇地问:后来呢?
赌场对赌徒说:想不想要知道你此生的命运?我现在就来告诉你。
有多少人能够拒绝这种剧透的诱惑?
绝大多数人,都很难身负“概率”前行。人们宁可死个明白,也不要叠加不确定性。
这是人对不确定性的极端厌恶,是人性的一部分。行为经济学的许多实验表明,不确定性会让一个人的决策变得愚蠢,变得非理性。
于是,套利机会出现了。这也算是概率权的一种:一个人如果能够在多种可能性的概率叠加中从容生活,冷静决策,那么他将获得更多优势和回报。
马斯克七年前在中国的演讲上,说自己创立的火箭公司时认为自己的成功概率最多只有10%。
难的不在于为什么要做小概率成功的事情,难的也不是要做正确但艰难的事情,难的是:如何理解这10%?
这10%的信念世界是如何存在并叠加于我们的现实世界的?
马斯克推崇物理的第一性原理,在那次演讲中不仅强调了物理学的基础,还提及量子物理学是最真实的。
然而量子物理很难学,不仅因为反直觉,而且还需要很多数学和统计学(概率)的知识,否则就会沦为科幻和玄学。
所谓的高手,例如马斯克,在现实世界里,能够在被概率支配的“叠加态”中生存:以概率、期望值作为决策依据,通过聪明的试错不断优化概率,从10%,到20%,再到80%,并根据概率和期望值调整下注的比例。
又例如,围棋高手擅长脱先,保留变化,从全局着眼,飘来飘去,又刀刀见血,时而让毫无希望的残子成为妙手,时而撒豆成兵,令全盘棋子叠加出想像不到的大模样。
对于这类人,平行宇宙是存在的,“既左又右”的叠加态是存在的,“既输又赢”的事情同样值得全力以赴地去做。
尤其是,考虑到人类群体社会的文化属性,这个叠加态的平行宇宙,还会吸引更多的移民迁徙而来,由此获得了物理学以外的概率提升,和资源投入。
底色悲凉,和天性乐观,意志坚定,是高手的人生叠加态。

请忽视上面的机器翻译
9
表象上看,人的一生偏向于串联,树的一生偏向于并联。
其实,人生的叠加态,是串联与并联的混合。
人和树的生命形态有某种奇特的对照。往深处看,如理查德·道金斯所言:“所有生命的核心要素不是火,不是温暖的吐息,不是什么‘生命的火花’;而是信息、词语、指令。”
他的意思是,生命的本质存在于DNA中的信息。
在生物学中,DNA携带着所有构建和维持生命所需要的指令,这些指令告诉细胞如何制造蛋白质,如何进行新的生长,以及如何响应环境刺激。
这些信息在我们的基因中编码,而基因则是由DNA的特定序列构成的。因此,你可以将DNA看作一个信息存储系统,它保存了生命所需的所有“词语”和“指令”。
马斯克强调第一性原理,在他看来,一辆车就是由一堆元素和一系列带指令的信息组成的。
18650电池,是索尼公司当年为了节省成本而定下的一种标准性的锂离子电池型号。之所以叫这个名字,是因为:18表示直径为18mm,65表示长度为65mm,0表示为圆柱形电池。
这种电池被广泛应用于各种数码产品,你的笔记本电脑,你的充电宝。在拼多多上不到5块钱可以买一节,理论上你买7000个就可以去动手装一台特斯拉电动车了。
早期的特斯拉Model S系列车型,其看似非常高大上的电池组板,是由7104节18650锂电池组成。
像搭积木一样,将7000多节小电池通过串联和并联“叠加”在一起。
该电池组板由16组电池组串联而成,每组电池组有444节锂电池,每74节并联。
18650电池看起来和普通电池差不多,很不起眼,但却是最早、最成熟、最稳定的锂离子电池,其一致性、安全性有很高水准。
对比而言,如果采用层叠式锂离子电池,虽然可以大幅降低电池基本单元的数量,却要面对成熟度与一致性的挑战。层叠式锂离子电池单个更大,如果一致性水准不够,电池串、并联形成的电池组的管理也更难。
对18650电池的应用,不仅是通过成熟锂电池串并联的叠加积少成多,还在于通过电池管理系统所形成的整体稳定性,包括分布、控制、冷却、安全等等。

行文至此,我突然发现了一个秘密:经常彼此嘲讽对方的马斯克和巴菲特,其实是一类人。
巴菲特说,自己喜欢找很多个容易跨越过去的一英尺高的横杆,而非一个六英尺高的横杆。
马斯克似乎喜欢相反的事情,让人类成为多星球物种,这何止是六英尺的难题。他嘲讽巴菲特只会分配资金,卖卖糖水。
可是,马斯克的关于新能源车的星辰大海,始自18650电池的叠加,这不也是许多个一英尺高的横杆?
而巴菲特在漫长投资生涯中创造的奇迹,也有赖于一个特斯拉的电池管理系统那般的投资系统,绝不只是“在一张纸上打下二十个空”那么简单。
简单与不简单,确定性与不确定性,被“叠加”黏合在一起。
直觉告诉我们,牛顿力学是牢靠的,量子力学是不确定的。
但爱因斯坦说,牛顿力学的速度叠加,只是一种近似的、简化的计算。
即使如此,大多数人还是无法接受——在某些非常需要确定性的世界里引入概率。
且不说车,来看看“绝对容不得错误”的航天。
在造火箭上,马斯克继续玩儿起了并联,他将自己的梅林发动机叠加在一起。
“猎鹰”系列火箭梅林发动机应用“简单即可靠”的新理念,将结构设计得非常简单,以消除复杂结构带来的不稳定隐患。
“猎鹰9号”,将九个梅林发动机并联在一起,实现了“简单、可靠、低成本”。

光简单还不行,梅林发动机具备推力补偿技术,能在大范围内调整推力。
2012年10月,“猎鹰”9火箭发射“龙”飞船向国际空间站运送货物时,第一级的一台发动机出现故障停机,其他8台发动机立即自动补偿了推力损失,最终成功将“龙”飞船送入预定轨道。
(上述案例来自网络。)
有时候,我们混淆了过程的“确定性”和结果的“确定性”。
为什么SpaceX那么厉害?除了马斯克的商业天赋,以及技术包工头的独特优势,还因为他对概率的理解。
他对工程师格外包容,要求他们“只要别把发射塔炸掉”就好了。
他对不确定的失败有着惊人的承受力,在几年前的那次中国演讲,他开心地说,最近不错,火箭飞了几分钟才炸掉。
为什么不是更厉害的科学家做成这件事?为什么贝佐斯在竞争中落后?
也许是因为马斯克能够活在自己的概率叠加的理念世界里,又能够100%地投入现实世界吧。
10
作为一个心不在焉的人,我一直对人的离散和叠加有兴趣。
在《人生算法》里,我假设人是由一个个离散的“我”叠加而成。

就像高尔夫球手会将自己的动作录下来,一帧一帧地分析要点。
由此,我们可以想象:一个人做某件事情,甚至一个人的一生,就是由无数个瞬间的“我”串起来的。
时间,则像一个电影播放机,将无数个静态图像叠加成动态的画面。
人的自我意识至今仍然是个未解之谜。自我像不熄之火,可为了形成“自我”的连贯性,人类也在认知和决策上付出了巨大的代价。
人生算法的基本单元,是一个个微小的认知闭环,就像18650电池,通过串联并联构成人的一生。又或者如梅林发动机,可以并联成巨大的火箭。
认知闭环的基本单元,也包括四个离散的节点:感知,认知,决策,行动。

我们完成一个认知闭环,就像是四个人在进行接力赛,四个人的风格也是迥异的:好奇感知,灰度认知,黑白决策,疯子行动。
因为这四个节点所要求的风格是不同的。
所以,我们可以说,所谓厉害的人,都有点儿分裂,又能够将这些不同的分裂元素叠加在一起。
对于人生算法,这个认知闭环还只是基本单元,从18650电池到电动汽车,还有许多事情需要做。
我在《人生算法》里,用围棋里的从初段到九段,来设计了一个循序渐进的结构。
本质上,这套所谓的体系,与精益创业、演化算法、科学实验、孩子的养育,差不多是异曲同工的,都是基于类似的逻辑:变异-选择-复制。
创业公司的底层方法论,就是一个从小概率的创意或洞见(变异),然后通过快速试错和迭代(选择),发现了一个秘密,找到大概率成功的基本单元,然后大规模复制。
几乎一切,都是围绕时间、空间、认知的叠加展开。
进而,实现了我向爱因斯坦致敬的那个公式:E=核心算法 x 大量重复动作2
一个人的成就,来自一套核心算法,乘以大量重复动作的2次方(确切说是n次方)。这是长期主义的原则。
普通人的努力,在长期主义的复利下,也会叠加成奇迹。
11
在以上诸多貌似并不关联的领域里,我试图呈现“叠加”这一概念的碎片性和连续性。
在柏格森看来,“实体不是通过脑子的复杂构思所能达到的;在直接的经验里,实体显得是不息的川流,是连续不断的变化过程,只有直觉以及同情的内省才可掌握它。”
柏格森号召人们把毫无生气的碎片丢在一边,“而把他们自己浸沉到事物的不息川流里去,并让这川流的不可抵挡的波涛把他们的种种困难一起冲走。”
他指出:“纯一性的、可被测量的时间是人为的一个概念,这概念的构成乃是由于空间这个观念侵犯到纯绵延的领域里。”
在《时间与自由意志》一书里,柏格森企图证明:
在主张决定论者和反对决定论者之间的一切讨论都表示他们曾事先把绵延跟广度,陆续出现跟同时发生,质量跟数量,混淆在一起。一旦把这番混淆去掉,则我们也许可以看出:人们对于自由意志所提出的反驳和所下的定义,甚至在某种意义上自由意志这个问题的自身,都会随着消失。
普鲁斯特则从文学的视角为我们呈现了时间的绵延性。在《在斯万家那边》一书里,普鲁斯特对贡布雷教堂如此描述:
“这座教堂在我的心目中与城里的其他地方完全有别:这座建筑可以说占据了四维空间——第四维就是时间,它像一艘船扬帆在世纪的长河中航行,驶过一柱又一柱,一厅又一厅,它所赢得、所超越的似乎不仅仅是多少公尺,而是一个朝代又一个朝代,它是胜利者。”
在传统的欧几里得空间观念中,我们通常只考虑三个维度:长度、宽度和高度。然而,爱因斯坦的相对论引入了时间作为第四个维度,从而创立了一个新的物理框架——四维时空。
在这个框架中,时间并不是与空间分离的,而是与空间维度紧密地联系在一起形成一个统一的时空结构。
从此,时间是相对的,空间可以被扭曲。而这些,文学家们早已误打误撞。如莎士比亚所写:“时间的流逝于各样人有各样步伐。”
在爱因斯坦的宇宙里,即使在四维时空中,也有因果结构的约束:信息或影响不能超过光速传播。
而在普鲁斯特的宇宙里,“我们所想象的比我们所看到的更重要”。
“我们以为自己生活在这个世界上,实际上却不过是生活在自己的心里。”
12
这世界真奇怪,空间是分布式的,时间是单线程的。
我们的大脑结构是分布式的,我们的主动意识大多时候是单线程的。
我在本文里,自由而任性地闲逛于“时间、空间、可能性”的叠加概念中。
对于未来时间的叠加,以及过去时间的叠加;
对于牛顿物理世界的叠加,再到量子物理世界的叠加态;
从现实世界的可能性叠加,再到理念世界的可能性的叠加。
以及,交织于“时间、空间、可能性”之间的关于叠加的叠加。
甚至于,我还一如既往地从世俗的角度来探寻一个人的离散性和叠加性,并毫不羞愧地将其概括为某个成功“公式”。
当然,还有财富的叠加——定义复利增长的几何平均数。
在我看来,一个人的使命就是当好自己这只小白鼠,全力蹦腾,尽情吃喝。
人类的整体命运,就是许多只小白鼠与众不同的命运的叠加。
想想看,人类数千年的文明史,假若20年是一代人,一共才经历几百代而已。
这壮阔的进化,来自曾经并正在地球上生活的一千亿人的或串联或并联的叠加。
在提及我对杂木花园的爱好时,用剪枝来隐喻了决策树的修剪。我来不及顺着院中的苔藓来提及“侘寂”,以及解释为什么这个与“收敛和粗糙”有关的概念影响了苹果的产品哲学。
然而,这是一个不再有爱因斯坦和普鲁斯特的年代。
在《三联生活周刊》谈及普鲁斯特的那一期,作者引用了卡尔维诺对我们这个时代的描述:“生活在狂躁拥堵世界里的帕洛马尔试图专注和敏锐地观看世界以让自己的生活更有意义,但他失败了。”
例如,即使你来到了最著名的庭院,依然无法触及渗透庭院构思的心灵。
为什么“我们生活在一个没有花园的时代”?
罗伯特·哈里森写道:
“欲使花园在空间充分可见,需赋予它一种我们这个时代越来越不允许的悠远绵长的时间。
处于主客观维度关联交汇中的时间,是让园中百花缓缓绽放的无形环境。
等待草木荣华,观者得花很长时间才能真正看见花园。
大多数人早已失去了这么做所需的功夫和意愿,更不用说心神的专注。”
也许在马斯克的心底,火星才是最美的花园,即使迄今为止人类移民火星的成功概率还小于1%。
然而这一理念世界的景观,被叠加到我们这个空洞而狂躁的俗世,令人在空无一人一星的夜晚也能仰望那太空里的遥远花园。
最后,从一个轻松的视角来对本文稍加概括。
就像看一部电影,打动我们的大致包括两样东西:
一、作为碎片的亮点,例如主角的容颜,某个场景,某句台词,某个构图,某个概念;
二、绵延性,例如行云流水的情节,与音乐共舞的情绪涌动,以及你对主角命运的沉浸感。
桑塔格说:“在时间里,一个人不过是他本人:是他一直以来的自己;在空间里,人可以变成另一个人。”
可是,在我看来,假如现实如同快速播放的胶片,“那个一直以来的自己”,难道不是因为残影而产生的幻觉?每个时间点上的“他本人”。如同一张张照片,翻过即逝。
“时间并不给人以多少周转余地:它在后面推着我们,把我们赶进现在通往未来的狭窄的隧道。但是,空间是宽广的,充满了各种可能性、不同的位置、十字路口、通道、弯道、一百八十度大转弯、死胡同和单行道。”
在《土星照命》里,桑塔格提及本雅明写过“在城市里没有方向感不是一件有趣的事情”,并将他与他曾翻译过其作品的普鲁斯特放在一起,说他写下的作品的残篇也许可以叫做《追寻失去的空间》。
普鲁斯特说:“生命只是一连串孤立的片刻,靠着回忆和幻想,许多意义浮现了,然后消失,消失之后又浮现。”
当《重现的时光》这本书出现在《情书》里,已不再是简单的致敬。
在这部电影里,岩井俊二运用导演的特权,彻底扭曲了时间与空间,用某种东方的哲学拓展了普鲁斯特的“无意识回忆”。
在娓娓道来又略带悬疑的叙述里,导演叠加了时间,叠加了命运,叠加了生死,叠加了记忆。
在接受访问时,岩井俊二认为回忆是推动自己现在的一大原动力。
“一般人以为过去是过去,现在是现在,两者互无关系。(但其实并非如此)某个时机,回忆起过去的事情,自然会发现一些过去与现在的连带关系,反过来影响了现在的自己。”
《情书》以平淡而精密的情节,提出如下命题:
未曾走过的路,是否算走过?
未曾发生的事,是否算发生?
如果少年藤井树画在借书卡后的“情书”没有因为《重现的时光》而重现,那段轻如白色窗纱的懵懂之爱,会不会仍然在可能性的世界里漂浮,并与长眠雪山的他一样永远年轻?
那些未曾发生的过去,因为时间的折返,因为被缺失的当事人确认未发生而“重现”了。“无意识回忆”终究还是开始工作,让人感到逝去,感到复活。
慢着,那青葱岁月的柔软的可能性,何以挣脱物理公式,避开概率公理,再次作为未曾褪色的“可能性”,“不发生”于被追寻的失去时间里?
已经逝去的“可能性”,似乎被“未发生”所庇护。
未发生的可能性,和已经发生的,在无意识回忆里是等价的。
两个平行宇宙重叠在一起,像描图的透明纸覆盖在旧时光之上,“曾经是”和“将是”合二为一变成“曾经将是”。
未来不再驱逐过去,时间没有推着我们,“可能性”无须“已发生”来参与。曾经的未发生,如同光速般,不会因为参与者或者观察者的方向和自身速度而影响其速度。
时间的单位被换成了空间的单位,逝去的可能性与作为现实性的当下,共同出现在同一棵树的不同枝丫上,构建出某种类似于弦的结构,在错过的时间中拉满永恒的张力,如大地般将我们孤寂的此刻拥入怀中。
本文来自微信公众号:孤独大脑 (ID:lonelybrain),作者:老喻