扫码打开虎嗅APP
本文来自微信公众号:果壳(ID:Guokr42),作者:宋田夫,编辑:大琳砸,题图来自视觉中国
在一波冷空气的袭击下,中国北方今年似乎已经提前入冬。有些人开始囤过冬的衣物,担心冬天空气污染的朋友则可能默默囤起了口罩。
据世界卫生组织(WHO)统计,全球每年约有700万人死于空气污染,空气污染已经是威胁中国人健康的第四大杀手,它对于孕妇和新生儿健康的不利影响也已经受到很多关注。而中国科学家最近一项发表在《自然-可持续性》上的研究表明,空气污染对胎儿的健康可能有一些意想不到的影响。

2019年6月19日,北京多区空气轻度污染 | 东方ic
近年来,学界开始认识到空气污染和流产之间有着某些说不清道不明的关系。这项研究获得国家重点研发计划、国家自然科学基金委员会和北京市自然科学基金的支持,研究人员来自北京师范大学和首都医科大学等机构,他们想要验证空气污染对胎儿的影响是不是比我们认识到的要更严重。为此,他们把关注点放在了空气污染和怀孕14周内的稽留流产上。
稽留流产也被称为“沉默流产”,是指胎儿尚未成形或已经死亡,但胎盘和胚胎组织仍稽留在母亲子宫内的情况。

这项研究关注空气污染和稽留流产的关系 | 东方ic
这次研究的样本是2009~2017年间北京地区255668名孕妇,她们有的来自北京郊区的农村,也不乏城区居民。她们的生活环境和工作性质各有不同,这意味着她们暴露在不同污染程度的空气中。从距离她们生活和工作地点最近的监测站,研究人员可以知道她们怀孕期间呼吸的空气是不是受到污染。在参与研究的孕妇中,17497人(6.8%)经历了稽留流产。
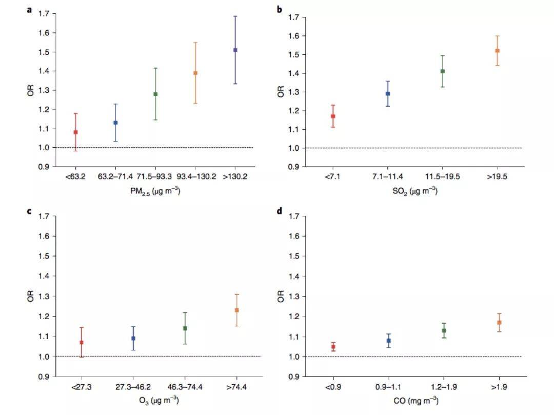
研究涉及污染物包括PM2.5、二氧化硫、臭氧和一氧化碳。

此项研究调查的几种污染物 | 东方ic
除了受孕之后,孕妇受孕之前一段时间内也会呼吸到受污染的空气,积累的污染物对胎儿的发育可能也有影响。经过初步的分析,他们发现,从最后一次经期之前90天,到妊娠结束这段时间里,空气质量的数据和早期流产之间的关系最强。这次研究的基础就是在这一期间内的25万名孕妇呼吸的空气。
研究对几种主要的空气污染物都进行了分析,最后得到一条相同的规律:孕妇呼吸的空气污染越严重,发生早期稽留流产的风险越高。

早期稽留流产风险与4种空气污染物浓度的相关性 | 参考文献 [1]
各种空气污染物是怎么影响胎儿健康的呢?具体的原理科学家还没有完全阐明,但是有一些大致的推测。
实际上,母亲为胎儿提供了一个保护层,叫做胎盘屏障。它可以给予胎儿基本的保护,防止他们受到来自外界的伤害。但是,长期暴露在污染的空气中,污染物就有机会突破这个保护层,进入到胎儿组织内,在他们还没有发育完全之前就造成损害。
胎儿的生理功能很不成熟,对于污染物入侵几乎没有抵抗能力。对于发育过程中的胎儿,一点很小的伤害都可能扩大成致命的缺陷。一些污染物比如一氧化碳,就可能直接透过胎盘屏障进入胚胎,造成胚胎缺氧,干扰胎儿的正常发育。PM2.5携带的空气污染物也可能同时对母亲和胎儿的染色体造成伤害。也有证据显示,空气污染会让血液更黏稠,可能影响胎盘的血液流动。
研究还针对不同孕妇做了对比,发现大龄孕妇(>39岁) 、务农女性、蓝领工人以及在低温天气下受孕的女性,和其他女性相比发生早期流产的风险更高。
女性农民和工人一般长期在室外工作,她们受到空气污染的影响要比办公室白领或者富裕家庭的女性高一些。寒冷天气下,大规模取暖可以直接让空气污染物爆表,这种情况下大家都会受到伤害。
近几年,我国政府为改善环境做出了不少努力,出台了几项号称史上最严的环保法规。在这样的背景下,空气质量得到了改善,这方面的变化也体现在这次的调查里。2014年~2017年间,与空气污染相关的早期流产风险正在逐年降低。
但风险依旧存在,不能过早乐观。尽管近年中国的环境污染有所减少,污染水平仍然很高,必须进一步降低。

2015年1月1日,新修订的《中华人民共和国环境保护法》开始正式实施 | 东方ic
这项研究的范围是室外空气质量和早期流产之间的关系,论文也指出,室内空气质量的影响也不容忽视。对于大多数家庭,室内和室外空气质量有一致性,室外的污染物也会出现在室内。
一些室内浓度高的污染物也被认为和流产有关,比如二手烟和室内燃煤。而这些,是我们可以而且应该避免的。作为个人,哪怕不是为了自己,是不是也应该为我们的后代出一份力?
参考资料:
[1]. Zhang, L., et al. (2019). Air pollution-induced missed abortion risk for pregnancies. Nature Sustainability.
[2].Ji, J. S. (2018). Air pollution and China's ageing society. The Lancet Public Health, 3(10), e457-e458.
[3]. Enkhmaa, D., et al. (2014). Seasonal ambient air pollution correlates strongly with spontaneous abortion in Mongolia. BMC pregnancy and childbirth, 14(1), 146.
[4]. Ha, S., Sundaram, et al. (2018). Ambient air pollution and the risk of pregnancy loss: a prospective cohort study. Fertility and sterility, 109(1), 148-153.
[5].Siddika, N., et al. (2016). Prenatal ambient air pollution exposure and the risk of stillbirth: systematic review and meta-analysis of the empirical evidence. Occup Environ Med, 73(9), 573-581.
本文来自微信公众号:果壳(ID:Guokr42),作者:宋田夫,编辑:大琳砸