扫码打开虎嗅APP
Photo by Annie Spratt on Unsplash,本文来自微信公众号:机器之心(ID:almosthuman2014),作者:李泽南,原标题为《华裔教授发现二次方程“极简”解法:丢掉公式,全球教科书可能都要改了》

近日,一篇名为《A Simple Proof of the Quadratic Formula》的研究出现在了论文预印版发布平台 arXiv 上,并获得了人们的关注。
这篇文章提出了一种二次方程的“极简”推导方式,这种方法在计算上是轻量级的,其概念也是顺应自然的,很有可能会让全球初中生的二次方程求解过程变得从此不再困难。
而这一简洁的方法是由美籍华裔数学家、奥赛国家队总教练罗博深发现的。

二次方程式是古人在数学上探索的重要成就之一,其历史可以追溯到公元前 2000 年到 1600 年古巴比伦时期。在超过 4000 年的历史中,不少著名数学家都“重新发现”了其求解方法。
当然对于绝大多数人来说,二次方程求解公式是今天代数第一阶段课程的标准部分。
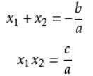
然而不幸的是,对于数以十亿计的全球人民来说,二次公式是必须记下来的第一个复杂公式(有可能也是唯一一个),这就是我们都必须学的韦达定理:
设一元二次方程 ax^2+bx+c=0(abc 为实数,a≠0)两根 x_1、x_2 有如下关系,

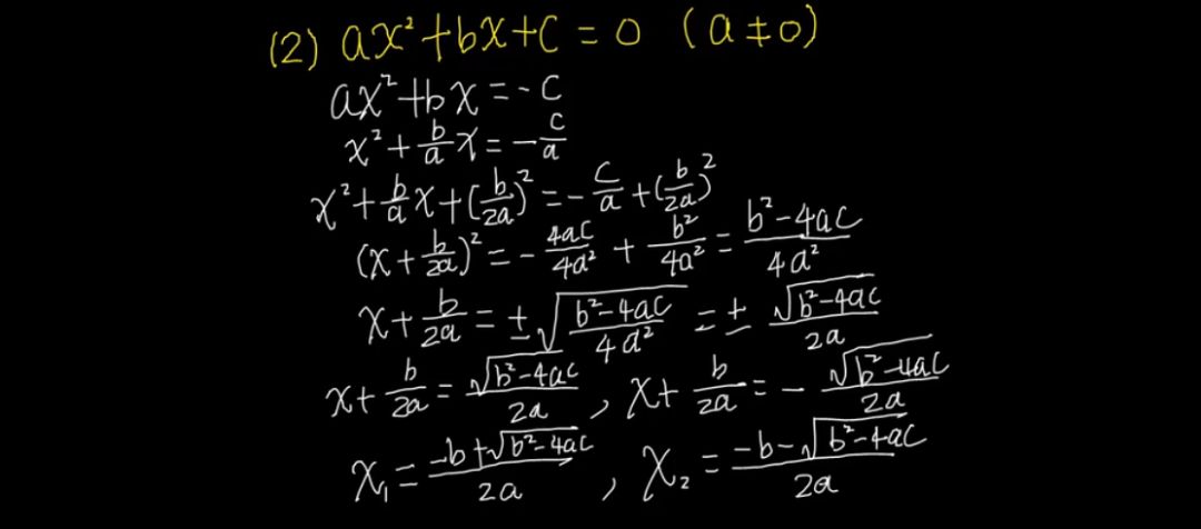
由一元二次方程求根公式可知

和高中、大学期间我们会学到的很多数学公式相比,这一方法虽然算得上简单,但它依赖于另一种基本的数学技巧“配方法”,而远非直觉。

所以在古巴比伦人首次提出之后,数学家们花费了几个世纪才偶然发现了这一证明。在这之前和之后,有很多其他的推导公式出现,但所有方式看起来都是复杂和“反人类”的。
罗博深找到了一个令人惊讶的二次方程推导方式,由此还产生了一种求解一般二次方程式的高效、自然且易于记忆的算法。
考虑到这一课题已经有 4000 多年历史,并被数十亿人接触过,直到今天才被才发现的确是非常令人惊讶的一件事。
罗博深的方法不依赖于配方,或任何其他相对困难的数学技巧。它非常简单,可用作通用方法,让学生们抛弃现在的公式。这种方法的推导过程是这样的:
假设二次方程式有两个根 R 和 S,和上面的经典方法一样,我们可将其写作,

当 x=R 或 x=S 时,右侧等于零。将右边拆开得,

所以-B=R+S 且 C=RS 时,等式成立,
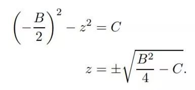
现在到了有趣的地方,罗博深指出,这个时候 R 和 S 的和是-B,所以二次方程两个根的平均值就是-B/2。“所以我们要求根,就是在找-B/2±z,其中的 z 是单个未知量。”(当然如果 z 是零,则 R=S=-B/2)。因为 C=RS,所以;

整理后得,

所以二次方程的解就是,

看起来也不简单?不过实际上与以前的方法相比,这个新方法有一些重要的改进。罗博深举了一个例子来进行了解释。
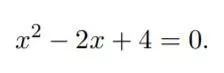
求解这个方程,x^2-2x+4=0:

传统方法是根据方程里 a、b 和 c 的值,将其带入经典公式然后求解。而在新方法上,首先方程的两个根等于-B/2±z,也就是 1±z;
且两个根的乘积是 C=4,因此:

因此方程的根为 1±i√3

无理数和虚数毫无压力。大家可以尝试用传统方法来解一下这个方程,肯定会难得多。

论文链接:https://arxiv.org/abs/1910.06709
在一个“简单”问题上找到了一个新的、更好的解法,这真的是人类的第一次发现吗?前不久陶哲轩等人求解特征值向量的研究《Eigenvectors from Eigenvalues》,在令人兴奋的发表之后,还被认为是“重复造轮子”。对此罗博深对自己提出方法的原创性进行了一番探讨。
简而言之,他研究了有关数学历史的大量文献,包括古巴比伦人、中国人、希腊人、印度人和阿拉伯人以及从文艺复兴时期到今天的现代数学家提出的方法,想要寻找前人发现过的可能性,然而并没有成功。
看起来,我们有了一个全新的二次方程求解方法。

发现这一方法的华裔学者罗博深(Po-Shen Loh)不仅是 CMU 的一名数学教授,还是一名社会活动家,致力于全球数学教育的研究。这位学者目前担任美国国际数学奥林匹克队的总教练。
罗博深 2004 年本科毕业于加州理工州立大学,在 2005 年获得剑桥大学数学硕士学位。在学术和竞赛方面,罗博深也曾获得过不少荣誉,包含国际数学奥林匹克银牌、总统科学家和工程师早期职业奖(PECASE)。他的研究领域包含离散系统、概率论和计算机科学交叉领域等方向。
本文来自微信公众号:机器之心(ID:almosthuman2014),作者:李泽南